Ultimo aggiornamento :
27/04/2026
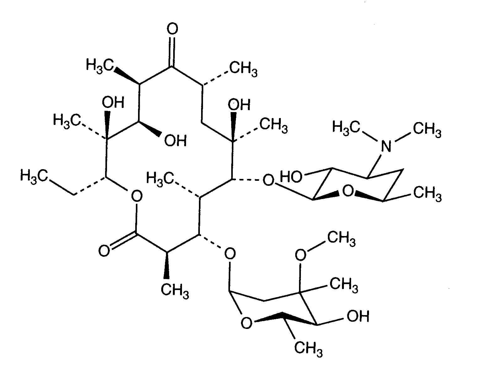
Antibiotico   Erythromycin lactobionate  
Iniezione
Stabilità in soluzione Stabilità in miscela Fattori che influenzano la stabilità Compatibilità metodo di iniezione Bibliografia pdf
   Struttura chimica  

Nome commerciale   Nome commerciale     

Trade names are indicative and excipients composition can be different depending on the country and manufacturers

Abboticin Danimarca, Finlandia, Norvegia, Svezia
Eristin Argentina
Erithromicina Chile
Erycinum Germania
Erythrocin Arabia Saudita, Australia, Austria, Canada, Germania, Gran Bretagna, Irlanda, nuova Zelanda, Stati Uniti d’America
Erythrocin lactobionat ADD Vantage Australia, Austria
Erythrocine Belgio, Francia, Lussemburgo, Paesi Bassi, Tunisia
Erythromycin Arabia Saudita, Germania, Gran Bretagna, Stati Uniti d’America, Ungheria
Erythromycine Lussemburgo
Erythromycinum Polonia
Pantomicina Chile, Spagna

Fattori che influenzano la stabilità   Iniezione   Fattori che influenzano la stabilità : Erythromycin lactobionate        
Bibliografia
pH pH >10 Provoca Degradazione 20
pH 7,5 < pH < 8 Provoca Aumento della stabilità 1153
pH pH < 5,5 Provoca Degradazione 20

  Mentions Légales