zadnja posodobitev :
27/01/2026
Antibiotik   Erythromycin lactobionate  
Brizgalka
Stabilnost raztopine Stabilnost mešanice Faktorji, ki vplivajo na stabilnost Kompatibilnost način aplikacije Viri pdf
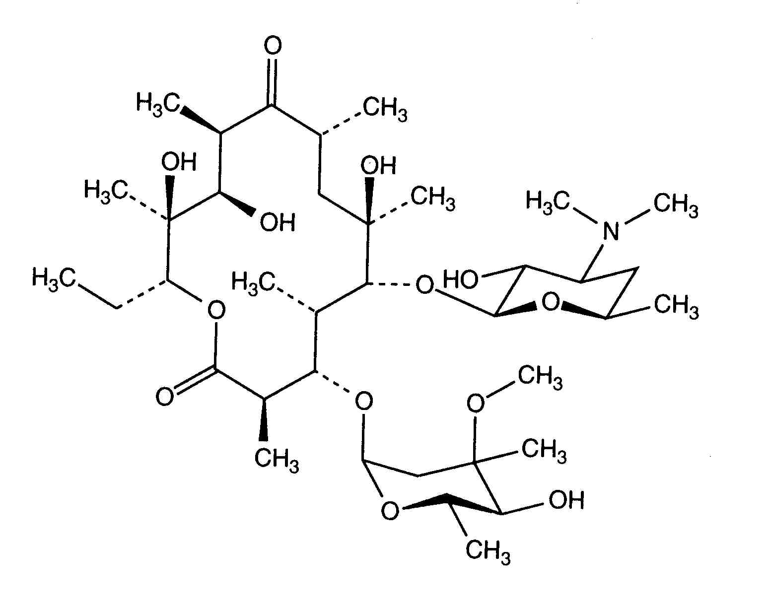
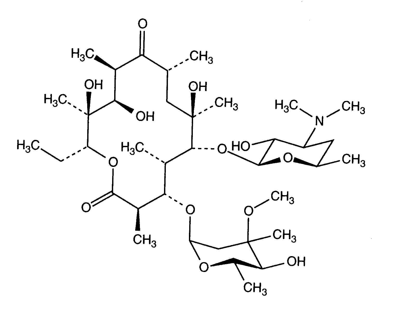
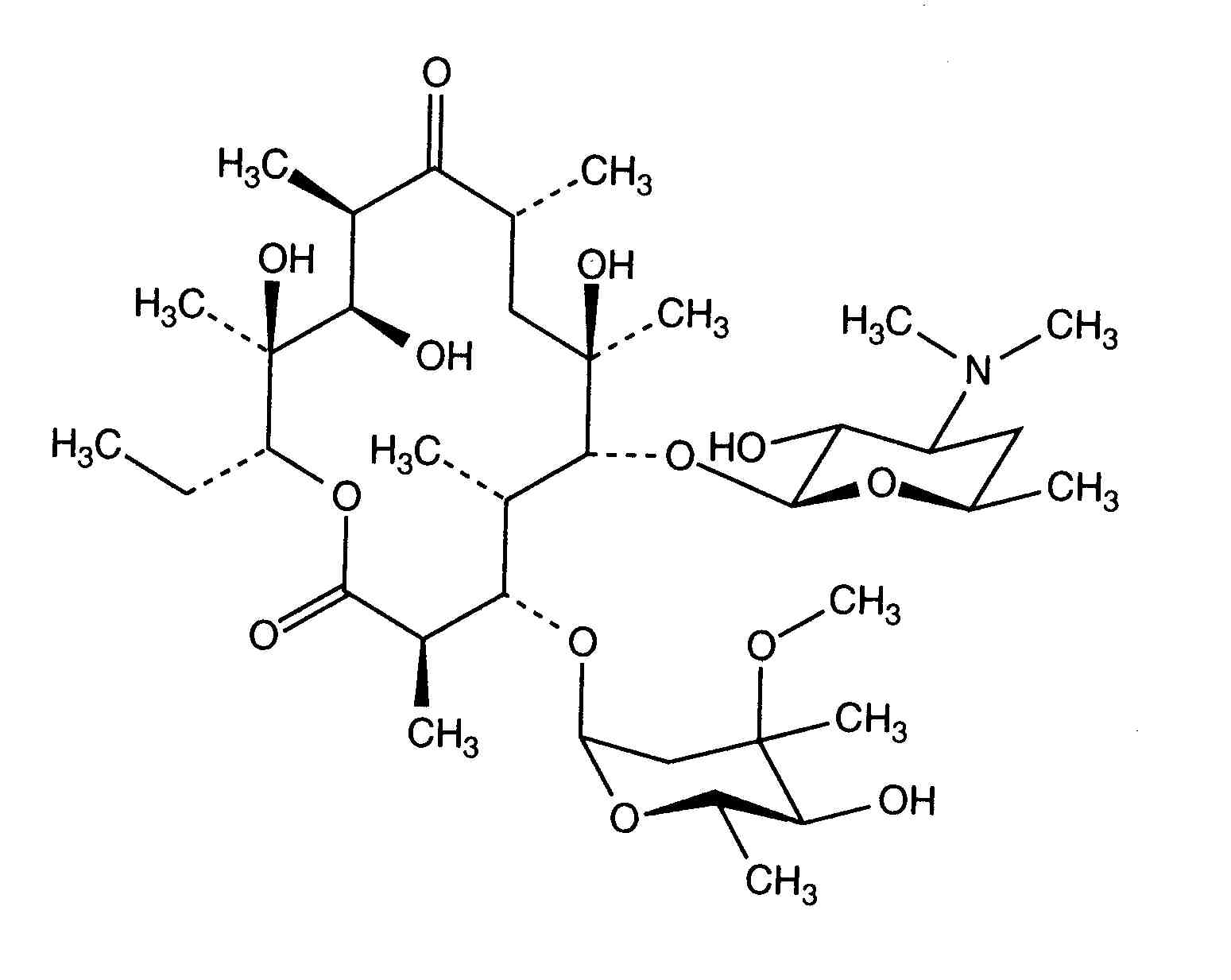
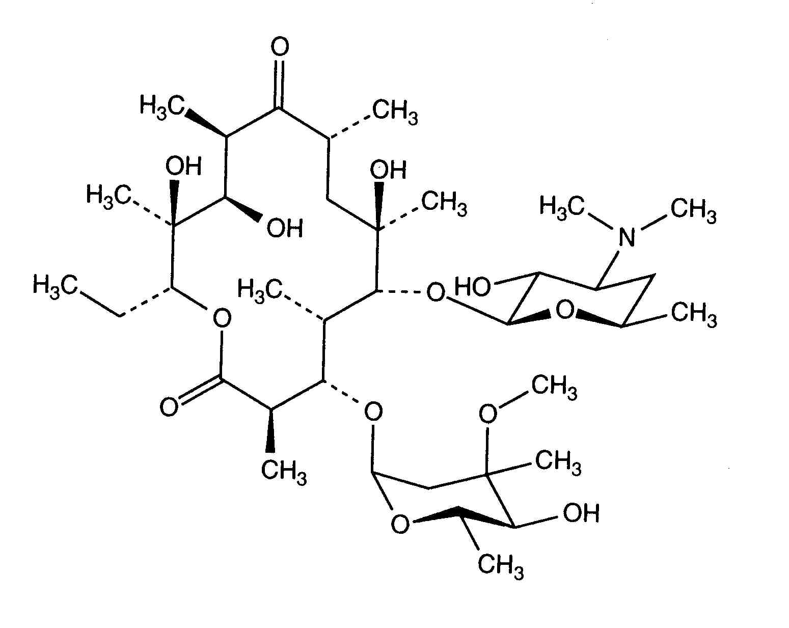
   Kemična formula  

Lastniško ime   Lastniško ime     

Sestava pomožnih snovi je med paralelami lahko različna

Abboticin Danska, Finska, Norveška, Švedska
Eristin Argentina
Erithromicina Čile
Erycinum Nemčija
Erythrocin Avstralija, Avstrija, Irska, Kanada, Nemčija, nova Zelandija, Savdska Arabija, Velika Britanija, Združene države Amerike
Erythrocin lactobionat ADD Vantage Avstralija, Avstrija
Erythrocine Belgija, Francija, Luksemburg, Nizozemska, Tunizija
Erythromycin Madžarska, Nemčija, Savdska Arabija, Velika Britanija, Združene države Amerike
Erythromycine Luksemburg
Erythromycinum Poljska
Pantomicina Čile, Španija

Faktorji, ki vplivajo na stabilnost   Brizgalka   Faktorji, ki vplivajo na stabilnost : Erythromycin lactobionate        
Viri
pH pH >10 Inducirati Degradacija 20
pH 7,5 < pH < 8 Inducirati Podaljšana stabilnost 1153
pH pH < 5,5 Inducirati Degradacija 20

  Mentions Légales