Dernière mise à jour :
27/01/2026
Vasodilatateur   Alprostadil  
injectable
Stabilité des solutions Stabilité en mélange Facteur influençant la stabilité Compatibilités Voie d’administration Bibliographie pdf
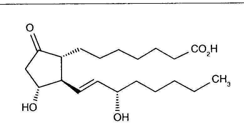
   Structure chimique  

Noms commerciaux   Noms commerciaux     

Les noms commerciaux sont donnés à titre indicatif et la composition en excipients peut être différente selon les pays et selon les laboratoires

Alfaprostin Egypte
Alistint Mexique, Pérou
Alprostadil Allemagne, Arabie Saoudite, Argentine, Australie, Canada, Chili, Equateur, Espagne, Etats Unis d’Amérique, Malaisie, Pérou, Roumanie, Turquie
Alprostapint Argentine, Autriche, Colombie, Equateur, Hongrie, Pérou
Alprostar Italie
Aplicav
Cardiobonisol Pologne
Caverject Autriche, Belgique, Brésil, Canada, Chili, Colombie, Danemark, Emirats Arabes Unis , Espagne, Etats Unis d’Amérique, France, Grande Bretagne, Italie, Norvège, Pologne, Portugal, Slovénie, Suède, Suisse, Turquie
Edex Etats Unis d’Amérique, France, Grèce, Tunisie
Liple Japon
Minprog Allemagne, Autriche
Ostapint Mexique, Pérou
Palux Japon
Pridax Allemagne, Autriche, Espagne, Roumanie
Prolisina VR Argentine
Prostandin Japon
Prostavasin Allemagne, Autriche, Egypte, Hongrie, Iran, Italie, Luxembourg, Pologne
Prostin VR Arabie Saoudite, Belgique, Canada, Colombie, Croatie, Danemark, Etats Unis d’Amérique, Finlande, Grande Bretagne, Grèce, Hongrie, Iran, Italie, Luxembourg, Malaisie, Norvège, Pays bas, Pologne, Portugal, Suisse, Vénézuela
Prostine VR France
Vasaprostan Roumanie
Bibliographie   injectable   Bibliographie : Alprostadil  
Type Source
1072 Revue Saltsmann CL, Tom CM, Mitchell A, Fan JH, Gailey RA.
Compatibility of levofloxacin with 34 medications during simulated Y-site administration.
Am J Health-Syst Pharm 1999 ; 56: 1458-1459.
1899 Revue Trissel LA, Zhang Y.
Long-term stability of Trimix : a three drug injection used to treat rectile dysfunction.
Int J Pharm Compound 2004 ; 8, 3: 231-235.
2003 Revue Paul M, Razzouq N, Tixier G, Astier A.
Stability of prostaglandin E1 (PGE1) in aqueous solutions.
EJHP Science 2005 ; 2: 31-36.
2090 Revue Pere H, Chasse V, Forest JM, Hildgen P.
Compatibility of injectable pantoprazole in Y-site administration.
Pharmactuel 2004 ; 37: 193-196.
2150 Revue Soli M, Bertaccini A, carparelli F, Gotti R, Cavrini V, Andrisano V, Martorana G.
Vasoactive cocktails for erectile dysfunction: chemical stability of PGE1, papaverine and phentolamine.
J Urology 1998 ; 160; 2: 551-555.
2151 Revue Gatti R, Gotti R, Cavrini V, Soli M, Bertaccini A, Carparelli F.
Stability study of prostaglandin E1 (PGE1) in physiological solutions by liquid chromatography (HPLC).
Int J Pharm 1995 ; 115: 113-117.
3201 Revue Dice JE.
Physical compatibility of alprostadil with commonly used IV solutions and medications in the neonatal intensive care unit.
J Pediatr Pharmacol Ther 2006 ; 11:233?6.
3448 Revue Vieillard V, Eychenne N, Astier A, Yiou R, Deffaux C, Paul M.
Physicochemical stability study of a new Trimix formulation for treatment of erectile dysfunction.
Ann Pharm Fr 2013 ; 71, 5: 358-363.
3761 Ouvrage Chavan E.
Etude de la stabilité de solutions de prostaglandine E1 à 48 et 72 heures en vue d'une administration parentérale en continu à des patients de néonatalogie.
Master en pharmacie - University of Geneva 2014
3961 Revue McCluskey S.V,Kirkham K,Munson J.M.
Stability of Alprostadil in 0.9% Sodium Chloride Stored in Polyvinyl Chloride Containers.
Int J Pharm Compound 2017 ; 21, 2: 150-153.
4069 Revue Palmero D, Chavan E, Berger-Gryllaki M, Tolsa J-F, Di Paolo E, Pannatier A, Henry H, Sadeghipour F.
Stability of prostaglandin E1 solutions stored in polypropylene syringes for continuous intravenous administration to newborns.
EJHP 2018 ; 25, e2
4389 Revue Côté K, Correal F, Metras M.E, Friciu M, Forest J.M, Leclair G.
Compatibilité physique des médicaments administrés en Y aux soins intensifs, en particulier la dexmédétomidine, le lévosimendan et la kétamine.
Pharmactuel 2019 ;52,4:206-213
4491 Revue De Basagoiti A, Katsumiti A, Abascal S, Bustinza A, López-Giménez L.R, Pilar P, De Miguel M, Campino A.
Physical compatibility of alprostadil with selected drugs commonly used in the neonatal intensive care units.
Eur J Pedia 2020
4507 Revue Ross E, Salinas A, Petty K, Her C, Carpenter J.
Compatibility of medications with intravenous lipid emulsions: Effects of simulated Y-site mixing.
Am J Health-Syst Pharm 2020 ;77,23:1980-1985
4543 Revue Senarathna G, Strunk T, Petrovski M, Batty K.
Physical compatibility of pentoxifylline and intravenous medications.
Archives of Disease in Childhood 2018 ;104:292–295.
4570 Revue Greenhill K, Hornsby E, Gorman G.
Investigations of Physical Compatibilities of Commonly Used Intravenous Medications with and without Parenteral Nutrition in Pediatric Cardiovascular Intensive Care Unit Patients.
Pharmaceuticals 2019
4651 Revue De Basagoiti A, Katsumiti A, Abascal S, Bustinza A, López-Giménez L.R, Pascual P, De Miguel M, Campino A.
Physical compatibility of alprostadil with selected drugs commonly used in the neonatal intensive care units.
Eur J Pedia 2021 ;180,1169–1176.
4837 Revue De Silva, D.T.N Petrovski M, Strunk T, Mukadam N, Page‑Sharp N, Moore B.R, Batty K.T.
Physicochemical compatibility of caffeine citrate and caffeine base injections with parenteral medications used in neonatal intensive care settings.
Eur J Clin Pharmacol 2024 ; 80:1079–1087.
4845 Revue De Silva D.T.N, Strunk T, Petrovski M, Page-Sharp M, Moore B.R, Batty K.T.
The Physicochemical Compatibility of Sildenafil Injection with Parenteral Medications Used in Neonatal Intensive Care Settings.
Pharmaceutics 2024 ;1 6, 419.
4954 Laboratoire ALPROSTADIL INTSEL CHIMOS 0,5 mg/ml, solution injectable - Résumé des caractéristiques du produit
INTSEL CHIMOS 2020

  Mentions Légales