Seneste opdatering :
27/04/2026
Antibiotisk   Azithromycine  
Injektion
Salver
Stabilitet i (vandige) opløsninger Stabilitet i blandinger Faktorer der påvirker stabiliteten Kompatibilitet Administrationsvej Bibliografi pdf
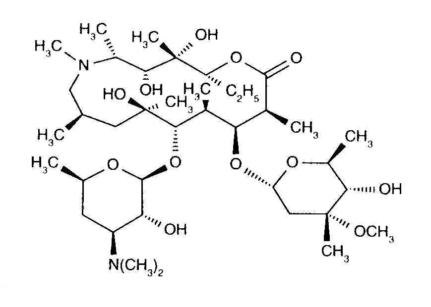
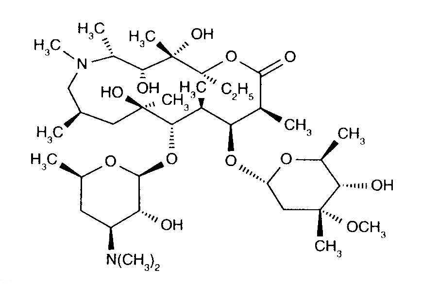
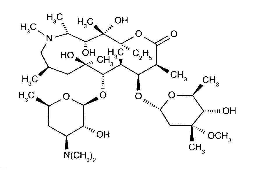
   Kemisk struktur  

Handelsnavn   Handelsnavn     

Handel navne er vejledende og hjælpestoffer sammensætning kan være forskellig afhængigt af landet og laboratorier

Azithromycin Canada
Azithromycina Ecuador
Azithromycine Dr Erbeth Tyskland
Azitromax Sverige
Sumamed Polen, Ungarn
Zaret Colombia
Zedbac Irland, Storbritanien
Zetamac Tjekkiet
Zithromac Japan
Zithromax Australien, Canada, Chile, Finland, Forenede Arabiske Emirater, Malaysia, Portugal, Saudi-Arabien, USA, Ægypten
Bibliografi   Injektion   Bibliografi : Azithromycine  
Type offentliggørelse
1712 Journal Trissel LA, Saenz CA.
Compatibility screening of Precedex during simulated Y-site administration with other drugs.
Int J Pharm Compound 2002 ; 6: 230-233.
1713 Journal Trissel LA, Saenz CA.
Compatibility screening of bivalirudin during simulated Y-site administration with other drugs.
Int J Pharm Compound 2002 ; 6: 311-315.
1721 Journal Trissel LA, Williams KY, Baker MB.
Compatibility screening of Hextend during simulated Y-site administration with other drugs.
Int J Pharm Compound 2001 ; 5: 69-72.
1800 Journal Voytilla KL, Tyler LS, Rusho WJ.
Visual compatibility of azithromycin with 24 commonly used drugs during simulated Y-site delivery.
Am J Health-Syst Pharm 2002 ; 59: 853-855.
1803 Journal Trissel, LA, Saenz CA, Ogundele OB, Ingram D, Baker MB.
Compatibility of fenoldopam mesylate with other drugs during simulated Y-site administration.
Am J Health-Syst Pharm 2003 ; 60: 80-85.
2233 Journal Condie C.K, Tyler L.S, Barker B, Canann D.M.
Visual compatibility of caspofungin acetate with commonly used drugs during simulated Y-site delivery
Am J Health-Syst Pharm 2008 ; 65, 5: 454-457.
2262 Journal Brammer MK, Chan P, Heatherly K, Trusley C, Kupiec TC, Trissel LA, Psathas PA, Gilmor T, Schaufelberger D.
Compatibility of doripenem with other drugs during simulated Y-site administratioN
Am J Health-Syst Pharm 2008 ; 65: 1261-1265.
2269 Journal Chan P, Bishop A, Kupiec TC, Trissel LA, Gole D, Jimidar IM, Vermeersch H.
Compatibility of ceftobiprole medocaril with selected drugs during simulated Y-site administration.
Am J Health-Syst Pharm 2008 ; 65, 16: 1545-1551.
3012 Journal Sullivan T, Forrest J.M, Leclair G.
Compatibility of Cloxacillin Sodium with Selected Intravenous Drugs During Simulated Y-Site Administration
Hosp Pharm 2015 ; 50, 3: 214-220.
3216 Journal Legris ME, Valiquette ME, Lavoie A, Forest JM, Leclair G.
Compatibilité physique par évaluation visuelle du salbutamol injectable lors de son administration en Y.
Pharmactuel 2011 ; 44, 1 : 14-18
3249 Journal Singh BM, Dedhiya MG, Dinunzio J, Chan P, Kupiec TC, Trissel LA, Laudano JB.
Compatibility of ceftaroline fosamil for injection with selected drugs during simulated Y-site administration.
Am J Health-Syst Pharm 2011 ; 68: 2163-2169.
3254 Journal Housman S.T, Tessier P.R, Nicolau D.P, Kuti J.L.
Physical compatibility of telavancin hydrochloride with select i.v. drugs during simulated Y-site administration
Am J Health-Syst Pharm 2011 ; 68: 2265-2270.
3408 Journal Tollec S, Touzin K, Pelletier E, Forest J.M.
Evaluation visuelle de la compatibilité physique de la naloxone avec d’autres médicaments intraveineux usuels.
Pharmactuel 2013 ; 46, 1 : 16-21.
3766 Journal Forrest J.M, Hildgen P.
Compatibilité de l’acétylcystéine injectable lors de son administration en Y avec d’autres médicaments usuels
Pharmactuel 2014 ; 47, 3 : 161-165.
3767 Journal Legris M.E, Lavoie A, Forrest J.M, Hildgen P.
Compatibilité par évaluation visuelle du thiopental injectable lors de son administration en Y avec des médicaments usuels.
Pharmactuel 2014 ; 47, 3 : 167-172.
3824 Journal Boudi S, Roy H, Forest JM, Leclair G.
Compatibilité physique de l'association amoxicilline-acide clavulanique en injection avec plusieurs autres médicaments lors d'une administration en Y.
Pharmactuel 2023 2023;56,3:91-98
3827 Poster Ghazi I.M, Hamada Y, Nicolau D.P.
Compatibility of tedizolid phosphate with selected intravenous drugs via simulated Y-site conditions.
ASHP Midyear 2015
3828 Poster Thabit A.K, Hamada Y, Nicolau D.P.
Ceftozolane/tazobactam physical compatibility during simulated Y-site administration.
ASHP Midyear 2015
3829 Poster So W, Kim L, Thabit A.K, Nicolau D.P, Kuti J.L.
Compatibility of isavunazonium sulfate during simulated Y-site administration.
ASHP Midyear 2015
3964 Journal Audet M.A, Forest E, Friciu M, Forest J.M, Leclair G.
Compatibilité du citrate de caféine injectable avec plusieurs autres médicaments.
Pharmactuel 2017 ; 50,1 : 27-33.
4055 Journal Monogue M, Almarzoky Abuhussain S, Kuti J, Nicolau D.
Physical compatibility of fosfomycin for injection with select i.v. drugs during simulated Y-site administration.
Am J Health-Syst Pharm 2018 , 75, 1:36-44
4145 Journal Asempa T.E, Avery L.M, Kidd J.M, Kuti J.L, Nicolau D.P.
Physical compatibility of plazomicin with select i.v. drugs during simulated Y-site administration.
Am J Health-Syst Pharm 2018 ;75,14:1048-1056
4319 Journal Lessard J-J, Caron E, Schérer H, Forest J-M, Leclair G.
Compatibility of Y-site Injection of Meropenem Trihydrate With 101 Other Injectable Drugs.
Hosp Pharm 2020 ; 55, 5: 332-337.
4528 Journal Lu J, Liu Q, Kupiec T, Vail H, Lunch L, Fam D, Vu N.
Physical Compatibility of Cefiderocol with Selected Intravenous Drugs During Simulated Y-site Administration.
Int J Pharm Compound 2021 ;25,1:52-61
4603 Journal Vallée M, Barthélémy I, Friciu M, Pelletier E, Forest J.M, Benoit F, Leclair G.
Compatibility of Lactated Ringer’s Injection With 94 Selected Intravenous Drugs During Simulated Y-site Administration.
Hosp Pharm 2021 ; 56, 4: 228-234.
4742 Journal Macoviciuc M, Nguyen C, Forest J-M, Leclair G.
Compatibilité physique de l’acétaminophène injectable avec 102 autres médicaments lors d’une administration en Y.
Pharmactuel 2022 ; 55, 4: 247-255.
4801 Journal Ruiz V, Yuwei Shen Y, Abouelhassan Y, Fouad A, Nicolau D, Kuti J.
Physical compatibility of sulbactam/durlobactam with select intravenous drugs during simulated Y-site administration.
Am J Health-Syst Pharm 2024 ;51,1:

  Mentions Légales