Ostatnia aktualizacja :
27/04/2026
Antykoagulant   Bivalirudin  
Injekcje
Trwałość roztworów Trwałość w mieszaninie Czynnik wpływający na trwałość Zgodność Sposób podania Bibliografia pdf
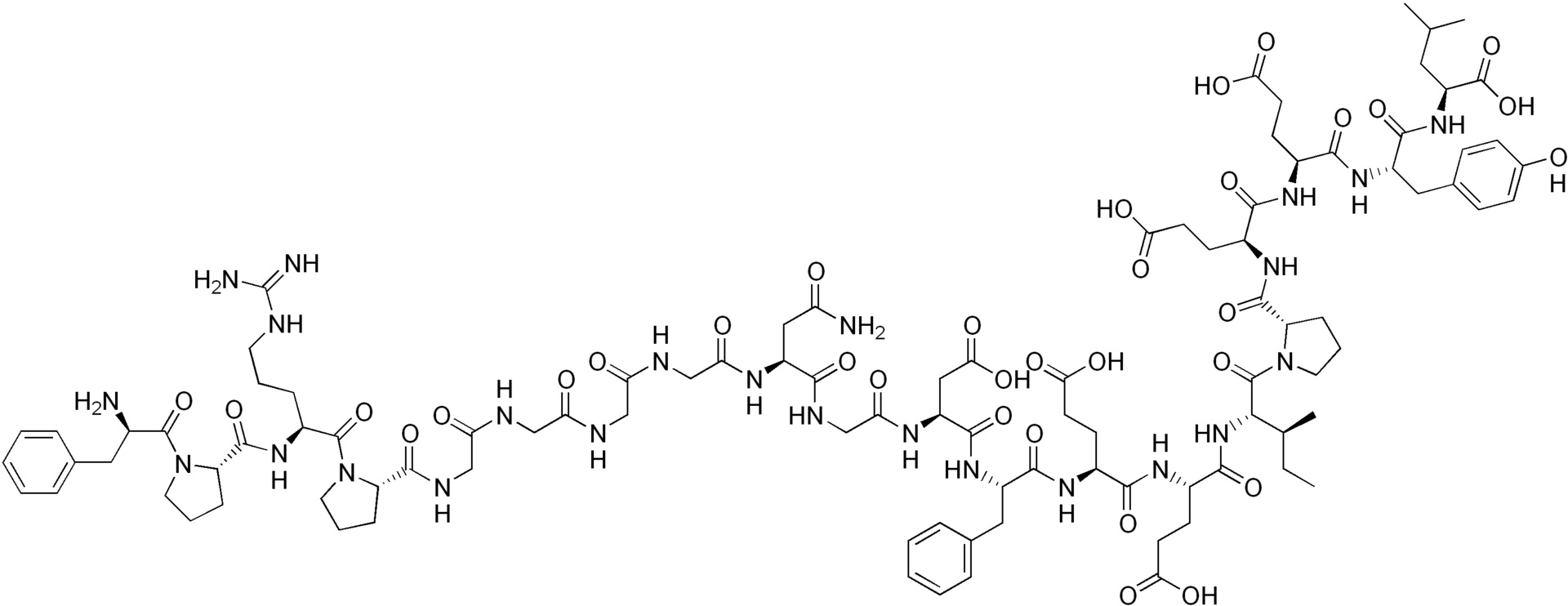
   Struktura chemiczna  

Nazwa handlowa   Nazwa handlowa     

Trade names are indicative and excipients composition can be different depending on the country and manufacturers

Amuprux Argentyna
Angiomax Australia, Chile, Kanada, nowa Zelandia, Peru, Stany Zjednoczone Ameryki, Wenezuela
Angiox Austria, Dania, Finlandia, Grecja, Hiszpania, Holandia, Islandia, Norwegia, Polska, Rumunia, Stany Zjednoczone Ameryki, Słowenia, Węgry, Wielka Brytania, Włochy
Bivalirudin Belgia, Dania, Finlandia, Niemcy, Szwecja, Słowenia, Wielka Brytania
Bivalirudina Hiszpania, Włochy
Trwałość w mieszaninie   Injekcje   Trwałość w mieszaninie : Bivalirudin     
Brak danych

  Mentions Légales