Последно актуализиране :
25/03/2026
Антикоагулант   Bivalirudin  
Инжекция/Инжекционен
Стабилност на разтвори Стабилност на смеси Фактори, повлияващи стабилността Съвместимост Път на въвеждане Библиография Pdf
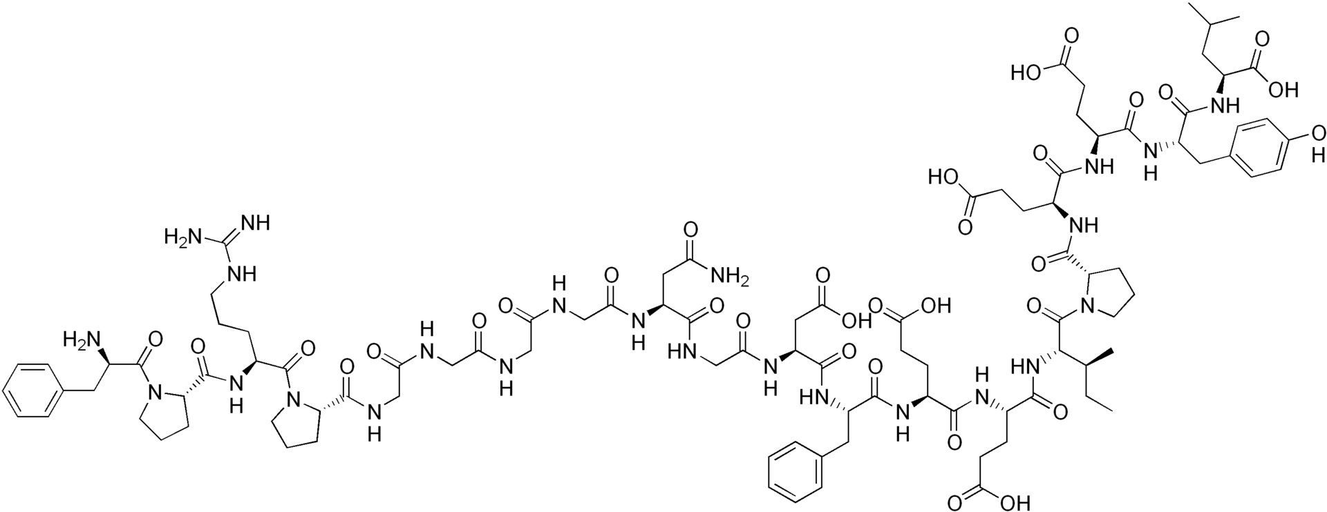
   Химична структура  

Търговско наименование   Търговско наименование     

Търговските имена са примерни и съставът на помощните вещества може да бъде различен в зависимост от държавата и лабораториите

Amuprux Аржентина
Angiomax Австралия, Венецуела, Канада, нова Зеландия, Перу, Съединени Американски щати / САЩ, Чили
Angiox Австрия, Великобритания, Гърция, Дания, Исландия, Испания, Италия, Норвегия, Полша, Румъния, Словения, Съединени Американски щати / САЩ, Унгария, Финландия, Холандия
Bivalirudin Белгия, Великобритания, Германия, Дания, Словения, Финландия, Швеция
Bivalirudina Испания, Италия
Стабилност на смеси   Инжекция/Инжекционен   Стабилност на смеси : Bivalirudin     
Няма данни

  Mentions Légales