Cập nhật lần cuối :
27/04/2026
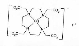
Thuốc cản quang   Gadoterate meglumine  
Dạng tiêm
Tính ổn định của các dung dịch Độ ổn định khi trộn lẫn Những yếu tố ảnh hưởng đến độ ổn định Khả năng tương thích Đường dùng Tài liệu tham khảo Pdf
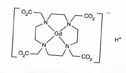
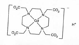
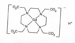
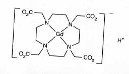
   Cấu trúc hóa học  

Tên thương mại   Tên thương mại     

Các tên thương mại được cung cấp và thành phần tá dược có thể khác nhau giữa các quốc gia và các hãng dược

Artirem Hà Lan, Đức
Ciclolux Tây Ban Nha, Đức
Clariscan Áo, Bỉ, Chile, Hungary, Ireland, Luxembourg, Na Uy, Peru, Phần Lan, Tây Ban Nha, Thụy Sỹ, Thụy Điển, Đức
Cyclolux Hungary, Tây Ban Nha, Đức
Dotagita Romania, Đức
Dotagraf Ireland, Tây Ban Nha, Thụy Sỹ, Đức
Dotarem Ả Rập, Ả Rập Saudi, Áo, Argentina, Bỉ, Bồ Đào Nha, Chile, Colombia, Hungary, Hy Lạp, Iran, Ireland, Luxembourg, Malaysia, Na Uy, Peru, Phần Lan, Pháp, Romania, Tây Ban Nha, Thổ Nhĩ Kỳ, Thụy Sỹ, Thụy Điển, Tunisia, Úc, Venezuela, Ý, Đan Mạch, Đức

Những yếu tố ảnh hưởng đến độ ổn định   Dạng tiêm   Những yếu tố ảnh hưởng đến độ ổn định : Gadoterate meglumine        
Không có dữ liệu

  Mentions Légales