Ostatnia aktualizacja :
27/04/2026
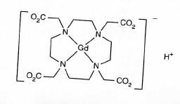
kontrastem   Gadoterate meglumine  
Injekcje
Trwałość roztworów Trwałość w mieszaninie Czynnik wpływający na trwałość Zgodność Sposób podania Bibliografia pdf
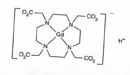
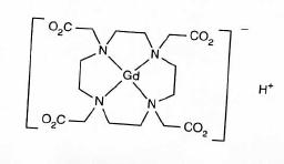
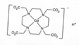
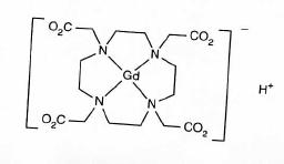
   Struktura chemiczna  

Nazwa handlowa   Nazwa handlowa     

Trade names are indicative and excipients composition can be different depending on the country and manufacturers

Artirem Holandia, Niemcy
Ciclolux Hiszpania, Niemcy
Clariscan Austria, Belgia, Chile, Finlandia, Hiszpania, Irlandia, Luksemburg, Niemcy, Norwegia, Peru, Szwajcaria, Szwecja, Węgry
Cyclolux Hiszpania, Niemcy, Węgry
Dotagita Niemcy, Rumunia
Dotagraf Hiszpania, Irlandia, Niemcy, Szwajcaria
Dotarem Arabia Saudyjska, Argentyna, Australia, Austria, Belgia, Chile, Dania, Egipt, Finlandia, Francja , Grecja, Hiszpania, Iran, Irlandia, KolumbiaKolumbia, Luksemburg, Malezja, Niemcy, Norwegia, Peru, Portugalia, Rumunia, Szwajcaria, Szwecja, Tunisie, Turcja, Węgry, Wenezuela, Włochy

Czynnik wpływający na trwałość   Injekcje   Czynnik wpływający na trwałość : Gadoterate meglumine        
Brak danych

  Mentions Légales