Poslední aktualizace :
27/04/2026
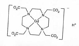
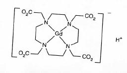
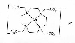
kontrastinės medžiagos   Gadoterate meglumine  
Įpurškimas
Tirpalų stabilumas Mišinių stabilumas Stabilumą lemiantys veiksniai Suderinamumas Leidimo būdai Bibliografija pdf
   Cheminė sandara  

Prekinis pavadinimas   Prekinis pavadinimas     

Trade names are indicative and excipients composition can be different depending on the country and manufacturers

Artirem Olandija, Vokietija
Ciclolux Ispanija, Vokietija
Clariscan Airija, Austrija, Belgija, Čilė, Ispanija, Liuksemburgas, Norvegija, Peru, Suomija, Švedija, Šveicarija, Vengrija, Vokietija
Cyclolux Ispanija, Vengrija, Vokietija
Dotagita Rumunija, Vokietija
Dotagraf Airija, Ispanija, Šveicarija, Vokietija
Dotarem Airija, Argentina, Australija, Austrija, Belgija, Čilė, Danija, Egiptas, Graikija, Iranas, Ispanija, Italija, Kolumbija, Liuksemburgas, Malaizija, Norvegija, Peru, Portugalija, Prancūzija, Rumunija, Saudo Arabija, Suomija, Švedija, Šveicarija, Tunisas, Turkija, Venesuela, Vengrija, Vokietija

Stabilumą lemiantys veiksniai   Įpurškimas   Stabilumą lemiantys veiksniai : Gadoterate meglumine        
Nėra duomenų

  Mentions Légales