Last update :
27/04/2026
Radiocontrast agent   Gadoterate meglumine  
injection
Stability in solutions Stability of mixtures Factors which affect stability Compatibility Route of administration References pdf
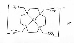
   Chemical structure  

Tradename   Tradename     

Trade names are indicative and excipients composition can be different depending on the country and manufacturers

Artirem Germany, Netherlands
Ciclolux Germany, Spain
Clariscan Austria, Belgium, Chile, Finland, Germany, Hungary, Ireland, Luxembourg, Norway, Peru, Spain, Sweden, Switzerland
Cyclolux Germany, Hungary, Spain
Dotagita Germany, Romania
Dotagraf Germany, Ireland, Spain, Switzerland
Dotarem Argentina, Australia, Austria, Belgium, Chile, Colombia, Denmark, Egypt, Finland, France, Germany, Greece, Hungary, Iran, Ireland, Italy, Luxembourg, Malaysia, Norway, Peru, Portugal, Romania, Saudi Arabia, Spain, Sweden, Switzerland, Tunisia, Turkey, Venezuela

Factors which affect stability   injection   Factors which affect stability : Gadoterate meglumine        
No data

  Mentions Légales