viimane versioon :
27/04/2026
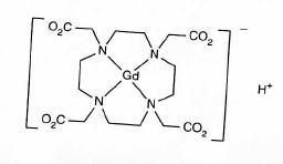
kontrastaine   Gadoterate meglumine  
Süsteravim
Stabiilsus lahustes Stabiilsust mõjutavad tegurid stabiilsust mõjutavad faktorid Sobimatus Manustamis viis Viited pdf
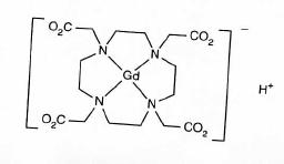
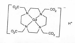
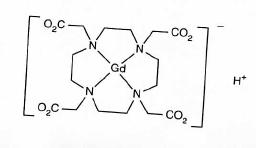
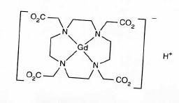
   keemiline struktuur  

Kaubanduslikud nimed erinevates maades   Kaubanduslikud nimed erinevates maades     

Preparaatide nimed on näitlikud ja abianete sisaldus võib erineda sõltuvalt riigist ja laborist

Artirem Holland, Saksamaa
Ciclolux Hispaania, Saksamaa
Clariscan Austria, Belgia, Hispaania, Iirimaa, Luksemburg, Maroko, Norra, Rootsi, Saksamaa, Soome, Sveits, Tšiili, Ungari
Cyclolux Hispaania, Saksamaa, Ungari
Dotagita Rumeenia, Saksamaa
Dotagraf Hispaania, Iirimaa, Saksamaa, Sveits
Dotarem Argentiina, Austraalia, Austria, Belgia, Egiptus, Hispaania, Iirimaa, Iraan, Itaalia, Kolumbia, Kreeka, Luksemburg, Malaisia, Maroko, Norra, Portugal, Prantsusmaa, Rootsi, Rumeenia, Saksamaa, Saudi Araabia, Soome, Sveits, Taani, Tšiili, Tuneesia, Türgi, Ungari, Venetsueela

stabiilsust mõjutavad faktorid   Süsteravim   stabiilsust mõjutavad faktorid : Gadoterate meglumine        
andmed puuduvad

  Mentions Légales