Última actualização :
27/04/2026
meio de contraste   Gadoterate meglumine  
injetável
Estabilidade em soluções simples Estabilidade em misturas Factores que afectam a sua estabilidade Compatibilidade Método de administração Bibliografía pdf
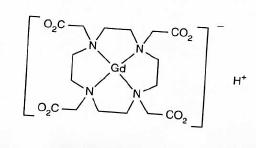
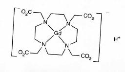
   estrutura química  

Nomes comerciais nos diversos países   Nomes comerciais nos diversos países     

OS NOMES COMERCIAIS SÃO INDICATIVOS E OS EXCIPIENTES DA FORMULAÇÃO PODEM SER DIFERENTES CONFORME O PAÍS E FABRICANTE.

Artirem Alemanha, Países Baixos
Ciclolux Alemanha, Espanha
Clariscan Alemanha, Austria, Bélgica, Chilli, Espanha, Finlandia, Hungria, Irlanda, Luxemburgo, Noruega, Peru, Suècia, Suicia
Cyclolux Alemanha, Espanha, Hungria
Dotagita Alemanha, Romènia
Dotagraf Alemanha, Espanha, Irlanda, Suicia
Dotarem Alemanha, Arábia Saudita, Argentina, Australia, Austria, Bélgica, Chilli, Colômbia, Dinamarca, Egipto, Espanha, Finlandia, França, Grècia, Hungria, Irã, Irlanda, Itália, Luxemburgo, Malásia, Noruega, Peru, Portugal, Romènia, Suècia, Suicia, Tunísia, Turquia, Venezuela
Bibliografía   injetável   Bibliografía : Gadoterate meglumine  
tipo publicação
1679 jornal Micard S, Rieutord A, Prognon P, Hassan M, Brion F.
Stability and sterility of meglumine gadoterate injection repackaged in plastic syringes.
Int J Pharm 2001 ; 212: 93-99.

  Mentions Légales