Τελευταία ενημέρωση :
27/04/2026
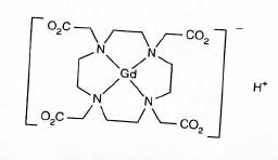
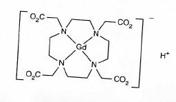
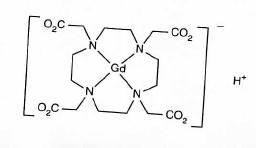
σκιαγραφικού μέσου   Gadoterate meglumine  
Ενέσιμο
Σταθερότητα διαλυμάτων Σταθερότητα σε μίγματα Παράγοντας που επηρεάζει τη σταθερότητα Συμβατότητες Τρόπος χορήγησης Βιβλιογραφία pdf
   χημική δομή  

Εμπορική ονομασία   Εμπορική ονομασία     

Οι εμπορικές ονομασίες είναι ενδεικτικές και η σύνθεση των εκδόχων μπορεί να διαφέρει ανάλογα με τη χώρα και τα εργαστήρια

Artirem Γερμανία, Ολλανδία
Ciclolux Γερμανία, Ισπανία
Clariscan Αυστρία, Βέλγιο, Γερμανία, Ελβετία, Ιρλανδία, Ισπανία, Λουξεμβούργο, Νορβηγία, Ουγγαρία, Περού, Σουηδία, Φινλανδία, Χιλή
Cyclolux Γερμανία, Ισπανία, Ουγγαρία
Dotagita Γερμανία, Ρουμανία
Dotagraf Γερμανία, Ελβετία, Ιρλανδία, Ισπανία
Dotarem Αίγυπτος, Αργεντινή, Αυστραλία, Αυστρία, Βέλγιο, Βενεζουέλα, Γαλλία, Γερμανία, Δανία, Ελβετία, Ελλάδα, Ιράν, Ιρλανδία, Ισπανία, Ιταλία, Κολομβία, Λουξεμβούργο, Μαλαισία, Νορβηγία, Ουγγαρία, Περού, Πορτογαλία, Ρουμανία, Σαουδική Αραβία, Σουηδία, Τουρκία, Τυνησία, Φινλανδία, Χιλή
Βιβλιογραφία   Ενέσιμο   Βιβλιογραφία : Gadoterate meglumine  
τύπος δημοσίευση
1679 εφημερίδα Micard S, Rieutord A, Prognon P, Hassan M, Brion F.
Stability and sterility of meglumine gadoterate injection repackaged in plastic syringes.
Int J Pharm 2001 ; 212: 93-99.

  Mentions Légales