Laatste update :
27/04/2026
contrastmiddel   Gadoterate meglumine  
injecteerbaar geneesmiddel
Stabiliteit in oplossing Stabiliteit in mengsels Factoren die de stabiliteit beïnvloeden Verenigbaarheden Toedieningswijze Literatuur pdf
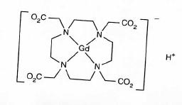
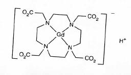
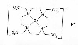
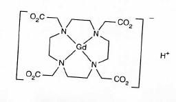
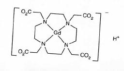
   Molecuulstructuur  

Merknamen in verschillende landen   Merknamen in verschillende landen     

Handelsnamen zijn slechts een indicatie; de samenstelling van hulpstoffen kan per land variëren afhankelijk van de fabrikant

Artirem Duitsland, Nederland
Ciclolux Duitsland, Spanje
Clariscan België, Chili, Duitsland, Finland, Hongarije, Ierland, Luxemburg, Noorwegen, Oostenrijk, Peru, Spanje, Zweden, Zwitserland
Cyclolux Duitsland, Hongarije, Spanje
Dotagita Duitsland, Roemenië
Dotagraf Duitsland, Ierland, Spanje, Zwitserland
Dotarem Argentinië, Australië, België, Chili, Colombia, Denemarken, Duitsland, Egypte, Finland, Frankrijk, Griekenland, Hongarije, Ierland, Iran, Italië, Luxemburg, Maleisië, Noorwegen, Oostenrijk, Peru, Portugal, Roemenië, Saudi-Arabië, Spanje, Tunisie, Turkije, Venezuela, Zweden, Zwitserland
Literatuur   injecteerbaar geneesmiddel   Literatuur : Gadoterate meglumine  
type publicatie
1679 Artikel Micard S, Rieutord A, Prognon P, Hassan M, Brion F.
Stability and sterility of meglumine gadoterate injection repackaged in plastic syringes.
Int J Pharm 2001 ; 212: 93-99.

  Mentions Légales