最新更新 :
27/04/2026
放射線造影剂   Gadoterate meglumine  
注射液
溶液稳定性 混合物稳定性 影响稳定性的因素 兼容性 用药途径 引用文献 PDF
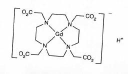
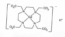
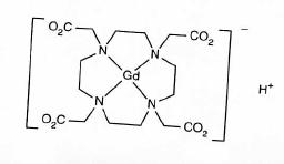
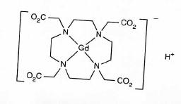
   化学式  

商品名   商品名     

商品名仅供参考, 药品所用的辅料可能依国家或厂商不同有所不同。

Artirem 德国, 荷兰
Ciclolux 德国, 西班牙
Clariscan 匈牙利, 卢森堡, 奥地利, 德国, 挪威, 智利, 比利时, 爱尔兰, 瑞典, 瑞士, 秘鲁, 芬兰, 西班牙
Cyclolux 匈牙利, 德国, 西班牙
Dotagita 德国, 罗马尼亚
Dotagraf 德国, 爱尔兰, 瑞士, 西班牙
Dotarem 丹麦, 伊朗, 匈牙利, 卢森堡, 哥伦比亚, 土耳其, 埃及, 奥地利, 委内瑞拉, 希腊, 德国, 意大利, 挪威, 智利, 比利时, 沙特阿拉伯, 法国, 澳大利亚, 爱尔兰, 瑞典, 瑞士, 秘鲁, 突尼斯, 罗马尼亚, 芬兰, 葡萄牙, 西班牙, 阿根廷, 马来西亚
引用文献   注射液   引用文献 : Gadoterate meglumine  
种类 出版物
1679 文献 Micard S, Rieutord A, Prognon P, Hassan M, Brion F.
Stability and sterility of meglumine gadoterate injection repackaged in plastic syringes.
Int J Pharm 2001 ; 212: 93-99.

  Mentions Légales