Viimeisin päivitys :
27/04/2026
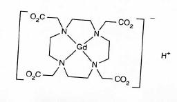
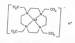
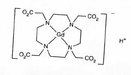
varjoaine   Gadoterate meglumine  
Injektioneste
Stabilius liuoksessa Stabilius seoksissa Tekijät, jotka vaikuttavat stabiliuteen Yhteensopivuus Antotapa Viitteet pdf
   Kemiallinen rakenne  

Kauppanimi   Kauppanimi     

Trade names are indicative and excipients composition can be different depending on the country and manufacturers

Artirem Hollanti, Saksa
Ciclolux Espanja, Saksa
Clariscan Belgia, Chile, Espanja, Irlanti, Itävalta, Luxemburg, Marokko, Norja, Ruotsi, Saksa, Suomi, Sveitsi, Unkari
Cyclolux Espanja, Saksa, Unkari
Dotagita Romania, Saksa
Dotagraf Espanja, Irlanti, Saksa, Sveitsi
Dotarem Argentiina, Australia, Belgia, Chile, Egypti, Espanja, Iran, Irlanti, Italia, Itävalta, Kolumbia, Kreikka, Luxemburg, Malesia, Marokko, Norja, Portugali, Ranska, Romania, Ruotsi, Saksa, Saudi-Arabia, Suomi, Sveitsi, Tanska, Tunisia, Turkki, Unkari, Venezuela
Viitteet   Injektioneste   Viitteet : Gadoterate meglumine  
tyyppi julkaisu
1679 Lehti Micard S, Rieutord A, Prognon P, Hassan M, Brion F.
Stability and sterility of meglumine gadoterate injection repackaged in plastic syringes.
Int J Pharm 2001 ; 212: 93-99.

  Mentions Légales