Cập nhật lần cuối :
27/01/2026
Kháng sinh   Amoxicillin sodium / clavulanic acid  
Dạng tiêm
Dung dịch uống
Tính ổn định của các dung dịch Độ ổn định khi trộn lẫn Những yếu tố ảnh hưởng đến độ ổn định Khả năng tương thích Đường dùng Tài liệu tham khảo Pdf
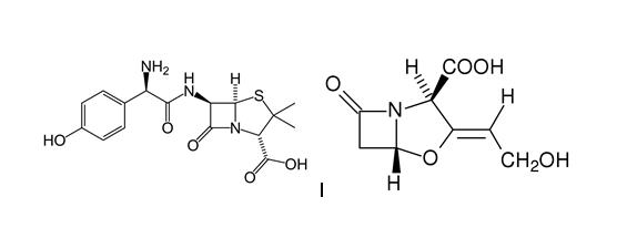
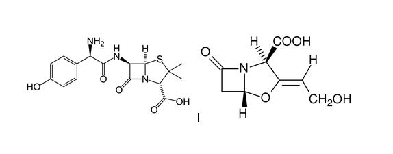
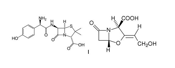
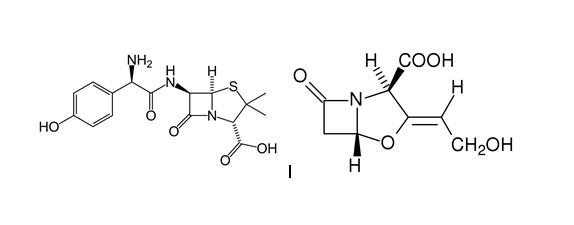
   Cấu trúc hóa học  

Tên thương mại   Tên thương mại     

Các tên thương mại được cung cấp và thành phần tá dược có thể khác nhau giữa các quốc gia và các hãng dược

Aktil Hungary
Amoclan Ả Rập Saudi
Amoklavin Thổ Nhĩ Kỳ
Amoksiklav Ba Lan
Amoxclav Ả Rập Saudi
Amplamox Brazil
Augmentin Ả Rập Saudi, Anh, Áo, Ba Lan, Bỉ, Chile, Ecuador, Hà Lan, Hy Lạp, Pháp, Tây Ban Nha, Thổ Nhĩ Kỳ, Thụy Sỹ, United Arab Emirates, Ý
Betamox Bồ Đào Nha
Clavamox Áo
Clavicin Malaysia, Venezuela
Clavulin Brazil
Co-amoxi Thụy Sỹ
Co-Amoxicillin Thụy Sỹ
Curam Ả Rập Saudi, new zealand
Darzitil Argentina
Dibional Argentina
Julmentin United Arab Emirates
Novamox Brazil
Sulbamox Chile
Tarometin Ba Lan
Trifamox Argentina, Colombia, Ecuador, Mexico
Độ ổn định khi trộn lẫn   Dạng tiêm   Độ ổn định khi trộn lẫn : Amoxicillin sodium / clavulanic acid     
Bao bì Dung môi Nồng độ Phân tử Nhiệt độ Bảo quản Thời gian ổn định Mục lục
Thủy tinh Không 12 mg/ml
Dạng tiêm   Amoxicillin sodium / clavulanic acid   
Dạng tiêm   Ofloxacin 2 mg/ml
25°C
48 Giờ
Không rõ 889
Cấp độ bằng chứng D

  Mentions Légales