Última actualización :
27/01/2026
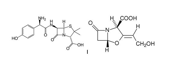
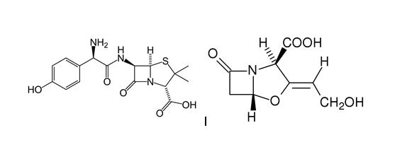
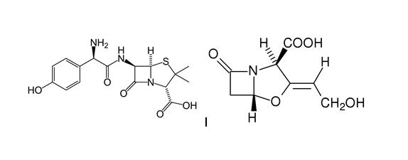
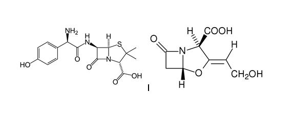
Antibiótico   Amoxicillin sodium / clavulanic acid  
Inyectables
Solución Oral
Estabilidad en solucion Estabilidad en mezcla Factores que influyen sobre la estabilidad Compatibilidades método de inyección Bibliografía pdf
   Estructura química  

Nombre comercial   Nombre comercial     

Los nombres comerciales son orientativos y los excipientes de la formulación pueden ser distintos dependiendo del país y del laboratorio fabricante.

Aktil Hungría
Amoclan Arabia Saudita
Amoklavin Turquía
Amoksiklav Polonia
Amoxclav Arabia Saudita
Amplamox Brasil
Augmentin Arabia Saudita, Austria, Bélgica, Chile, Ecuador, Emiratos Árabes Unidos, España, Francia, Gran Bretaña, Grecia, Italia, Países Bajos, Polonia, Suiza, Turquía
Betamox Portugal
Clavamox Austria
Clavicin Malasia, Venezuela
Clavulin Brasil
Co-amoxi Suiza
Co-Amoxicillin Suiza
Curam Arabia Saudita, Nueva Zelanda
Darzitil Argentina
Dibional Argentina
Julmentin Emiratos Árabes Unidos
Novamox Brasil
Sulbamox Chile
Tarometin Polonia
Trifamox Argentina, Colombia, Ecuador, México
Estabilidad en mezcla   Inyectables   Estabilidad en mezcla : Amoxicillin sodium / clavulanic acid     
Envase Solvente Concentración Molécula Temperatura Conservación Duración de la estabilidad Bibliografía
Vidrio Ninguno 12 mg/ml
Inyectables   Amoxicillin sodium / clavulanic acid   
Inyectables   Ofloxacin 2 mg/ml
25°C
48 Hora
No precisada 889
Nivel de evidencia D

  Mentions Légales