Posledná aktualizácia :
27/01/2026
antibiotikum   Amoxicillin sodium / clavulanic acid  
Injekcia
Perorálny roztok
Stabilita roztokov Stabilita v zmesiach Faktory ovplyvňujúce stabilitu Kompatibility spôsob podania Odkazy na literatúru PDF
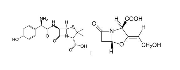
   Chemický vzorec  

Obchodný názov   Obchodný názov     

Obchodné názvy sú orientačné, a zloženie pomocných látok sa môže líšiť v závislosti od krajiny a výrobcu.

Aktil Maďarsko
Amoclan Saudská Arábia
Amoklavin Turecko
Amoksiklav Poľsko
Amoxclav Saudská Arábia
Amplamox Brazília
Augmentin Belgicko, Čile, Ekvádor, Francúzsko, Grécko, Holandsko, Poľsko, Rakúsko, Saudská Arábia, Španielsko, Spojené arabské emiráty, Švajčiarsko, Taliansko, Turecko, Veľká Británia
Betamox Portugalsko
Clavamox Rakúsko
Clavicin Malajzia, Venezuela
Clavulin Brazília
Co-amoxi Švajčiarsko
Co-Amoxicillin Švajčiarsko
Curam nový Zéland, Saudská Arábia
Darzitil Argentína
Dibional Argentína
Julmentin Spojené arabské emiráty
Novamox Brazília
Sulbamox Čile
Tarometin Poľsko
Trifamox Argentína, Ekvádor, Kolumbia, Mexiko
Stabilita v zmesiach   Injekcia   Stabilita v zmesiach : Amoxicillin sodium / clavulanic acid     
obal rozpúšťadlo koncentrácia Zlúčenina teplota uchovávanie Trvanie stability odkazy na lieteratúru
Sklo Žiadny 12 mg/ml
Injekcia   Amoxicillin sodium / clavulanic acid   
Injekcia   Ofloxacin 2 mg/ml
25°C
48 hodín
nešpecifikované 889
Úroveň dôkazov D

  Mentions Légales