Senaste uppdateringen :
27/04/2026
Antibiotikum   Penicillin G sodium  
injektion
Lösningars stabilitet Stabilitet i blandningar Faktorer som påverkar stabiliteten Kompatibilitet Administreringssätt Hänvisningar pdf
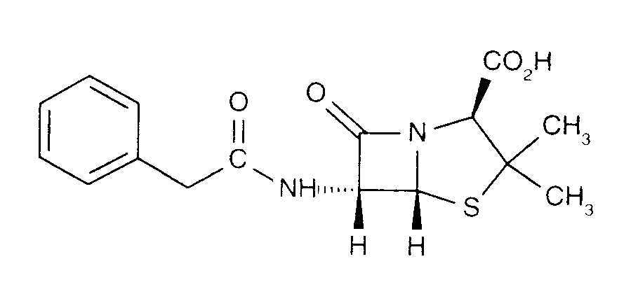
   Molekylstruktur  

Varunamn   Varunamn     

Angivna handelsnamn på läkemedel är enbart vägledande då formulering inklusive hjälpämnen kan variera mellan länder och tillverkare

Benapen Brasilien
Bencilpenicilina Chile, Ecuador, Peru
Benpen Australien, nya Zeeland
Bensylpenicillin Sverige
Benzapen Iran
Benzatec Sydafrikanska republiken
Benzatron Brasilien
Benzylpenicillin Danmark, Egypten, Finland, Norge, Sverige
Benzylpenicilline Tunisien
Biconcillina Ecuador
Crystapen Irland, Kanada, Storbritannien
Declin Mexiko
Fortepen Saudi-Arabien
Geepenil Finland
Natrium penicillin G Nederländerna
Novopen Sydafrikanska republiken
Pebencil Venezuela
Penbendox Mexiko
Penibiot Spanien
Penicillin Norge
Penicillina G sodica Argentina, Chile, Colombia, Ecuador, Portugal
Penilevel Spanien
Sodiopen Spanien
Unicillina Spanien
Stabilitet i blandningar   injektion   Stabilitet i blandningar : Penicillin G sodium     
Ingen uppgift

  Mentions Légales