Posledná aktualizácia :
27/04/2026
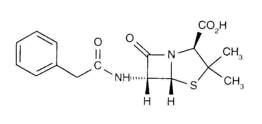
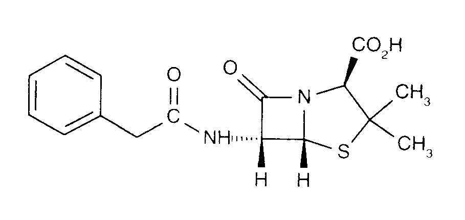
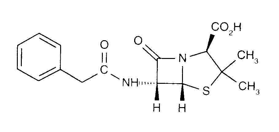
antibiotikum   Penicillin G sodium  
Injekcia
Stabilita roztokov Stabilita v zmesiach Faktory ovplyvňujúce stabilitu Kompatibility spôsob podania Odkazy na literatúru PDF
   Chemický vzorec  

Obchodný názov   Obchodný názov     

Obchodné názvy sú orientačné, a zloženie pomocných látok sa môže líšiť v závislosti od krajiny a výrobcu.

Benapen Brazília
Bencilpenicilina Čile, Ekvádor, peru
Benpen Austrália, nový Zéland
Bensylpenicillin Švédsko
Benzapen Irán
Benzatec Juhoafrická republika
Benzatron Brazília
Benzylpenicillin Dánsko, Egypt, Fínsko, Nórsko, Švédsko
Benzylpenicilline Tunisko
Biconcillina Ekvádor
Crystapen Írsko, Kanada, Veľká Británia
Declin Mexiko
Fortepen Saudská Arábia
Geepenil Fínsko
Natrium penicillin G Holandsko
Novopen Juhoafrická republika
Pebencil Venezuela
Penbendox Mexiko
Penibiot Španielsko
Penicillin Nórsko
Penicillina G sodica Argentína, Čile, Ekvádor, Kolumbia, Portugalsko
Penilevel Španielsko
Sodiopen Španielsko
Unicillina Španielsko
Stabilita v zmesiach   Injekcia   Stabilita v zmesiach : Penicillin G sodium     
žiadne údaje

  Mentions Légales