Última actualização :
27/04/2026
antibiótico   Penicillin G sodium  
injetável
Estabilidade em soluções simples Estabilidade em misturas Factores que afectam a sua estabilidade Compatibilidade Método de administração Bibliografía pdf
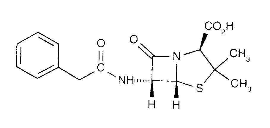
   estrutura química  

Nomes comerciais nos diversos países   Nomes comerciais nos diversos países     

OS NOMES COMERCIAIS SÃO INDICATIVOS E OS EXCIPIENTES DA FORMULAÇÃO PODEM SER DIFERENTES CONFORME O PAÍS E FABRICANTE.

Benapen Brasil
Bencilpenicilina Chilli, Equator, Peru
Benpen Australia, nova Zelândia
Bensylpenicillin Suècia
Benzapen Irã
Benzatec Africa do sul
Benzatron Brasil
Benzylpenicillin Dinamarca, Egipto, Finlandia, Noruega, Suècia
Benzylpenicilline Tunísia
Biconcillina Equator
Crystapen Canadá, Gran-bretanha, Irlanda
Declin México
Fortepen Arábia Saudita
Geepenil Finlandia
Natrium penicillin G Países Baixos
Novopen Africa do sul
Pebencil Venezuela
Penbendox México
Penibiot Espanha
Penicillin Noruega
Penicillina G sodica Argentina, Chilli, Colômbia, Equator, Portugal
Penilevel Espanha
Sodiopen Espanha
Unicillina Espanha
Estabilidade em misturas   injetável   Estabilidade em misturas : Penicillin G sodium     
Ausência de dados

  Mentions Légales