Последнее обновление :
27/04/2026
Антибиотик   Penicillin G sodium  
Инъекция
Стабильность растворов Стабильность смесей Факторы, которые влияют на стабильность Совместимость Способы введения Библиография pdf
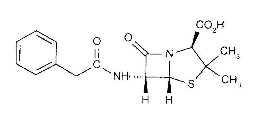
   Химическая структура  

Товарное название   Товарное название     

Trade names are indicative and excipients composition can be different depending on the country and manufacturers

Benapen Бразилия
Bencilpenicilina Перу, чили, Эквадор
Benpen Австралия, новая Зеландия
Bensylpenicillin Швеция
Benzapen Иран
Benzatec Южно-Африканская Республика
Benzatron Бразилия
Benzylpenicillin Дания, Египет, Норвегия, Финляндия, Швеция
Benzylpenicilline Тунис
Biconcillina Эквадор
Crystapen Великобритания, Ирландия, Канада
Declin Мексика
Fortepen Саудовская Аравия
Geepenil Финляндия
Natrium penicillin G Голландия
Novopen Южно-Африканская Республика
Pebencil Венесуэла
Penbendox Мексика
Penibiot Испания
Penicillin Норвегия
Penicillina G sodica Аргентина, Колумбия, Португалия, чили, Эквадор
Penilevel Испания
Sodiopen Испания
Unicillina Испания
Стабильность смесей   Инъекция   Стабильность смесей : Penicillin G sodium     
данных нет

  Mentions Légales