Última actualización :
27/04/2026
Antibiótico   Spiramycine adipate  
Inyectables
Estabilidad en solucion Estabilidad en mezcla Factores que influyen sobre la estabilidad Compatibilidades método de inyección Bibliografía pdf
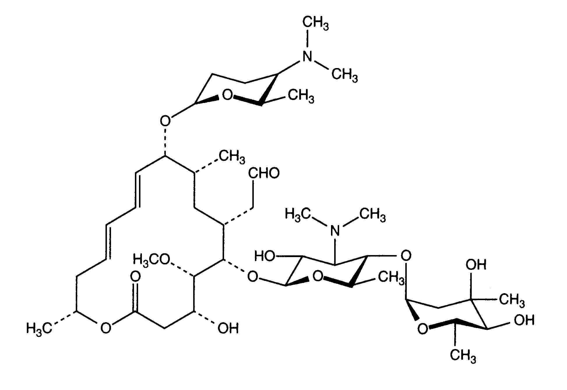
   Estructura química  

Nombre comercial   Nombre comercial     

Los nombres comerciales son orientativos y los excipientes de la formulación pueden ser distintos dependiendo del país y del laboratorio fabricante.

Rovamycine Francia, Polonia
Estabilidad en solucion   Inyectables   Estabilidad en solucion : Spiramycine adipate     
Envase Solvente Concentración Temperatura Conservación Duración de la estabilidad Bibliografía
Vidrio Agua para preparación inyectable 0.375 MUI/ml ? No precisada
12 Hora
3563
Datos de estabilidad del fabricante


  Mentions Légales