最新更新 :
27/01/2026
抗生素   Spiramycine adipate  
注射液
溶液稳定性 混合物稳定性 影响稳定性的因素 兼容性 用药途径 引用文献 PDF
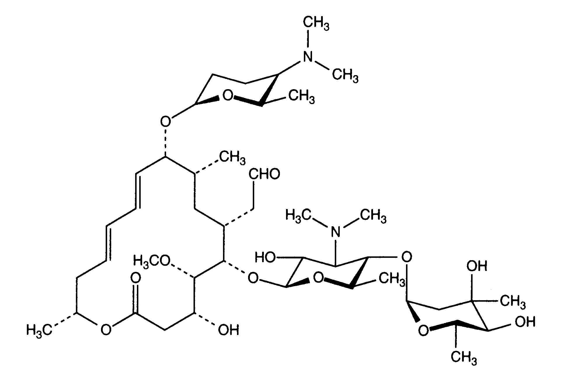
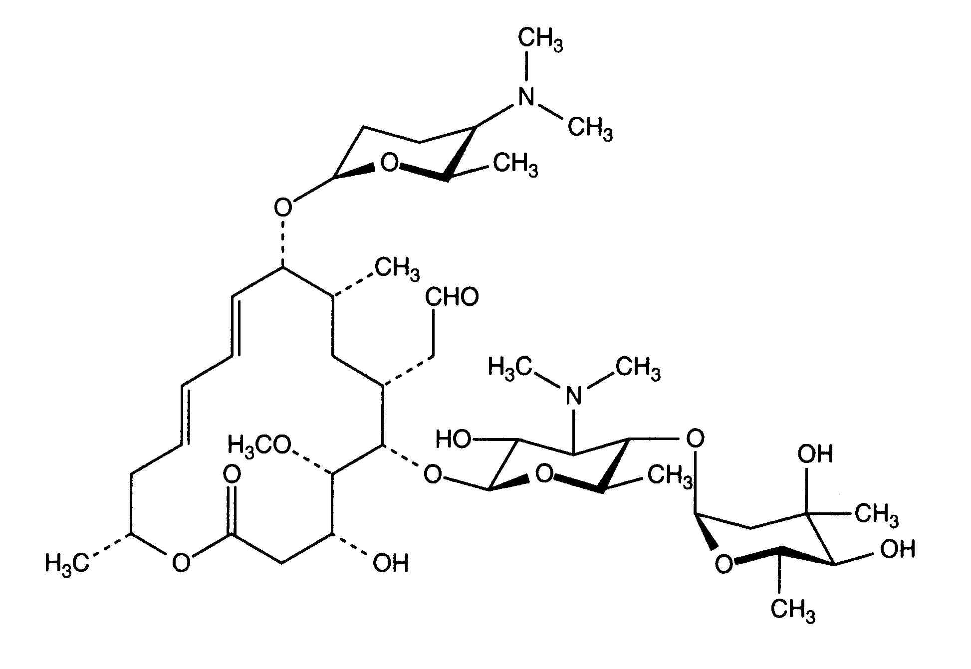
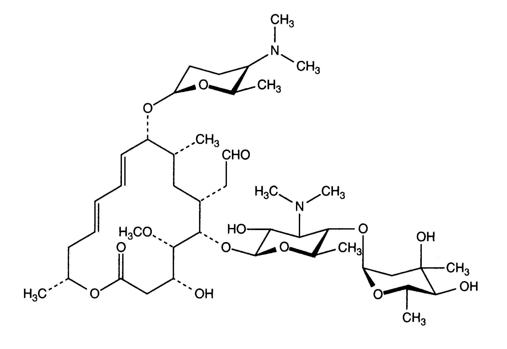
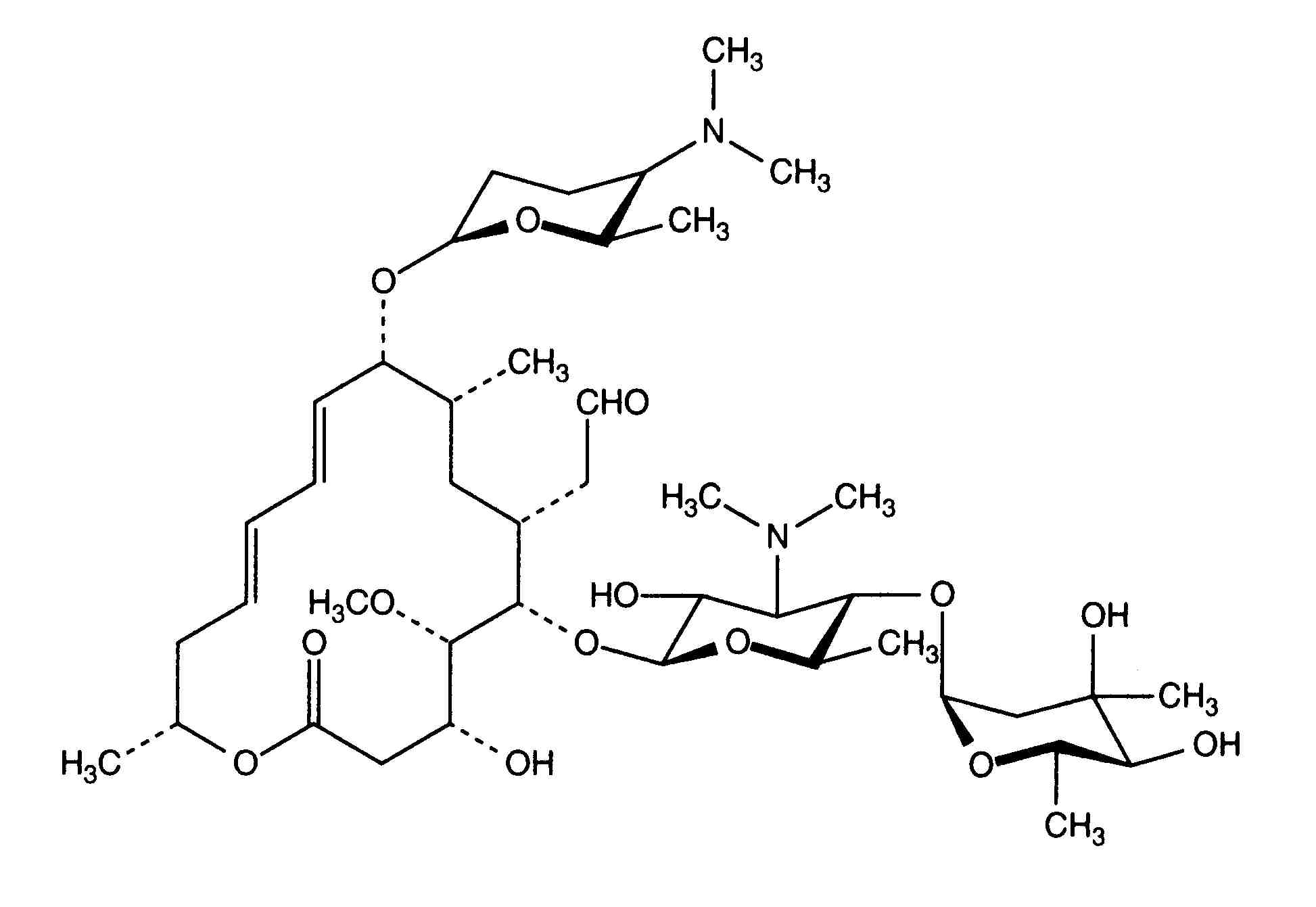
   化学式  

商品名   商品名     

商品名仅供参考, 药品所用的辅料可能依国家或厂商不同有所不同。

Rovamycine 法国, 波兰
溶液稳定性   注射液   溶液稳定性 : Spiramycine adipate     
容器 溶剂 浓度 温度 保存 穩定持續時間 引用文献
玻璃 注射用水 0.375 MUI/ml ? 无特殊要求
12 小时
3563
生产厂家提供的稳定性数据


  Mentions Légales