viimane versioon :
27/04/2026
antibiootikum   Spiramycine adipate  
Süsteravim
Stabiilsus lahustes Stabiilsust mõjutavad tegurid stabiilsust mõjutavad faktorid Sobimatus Manustamis viis Viited pdf
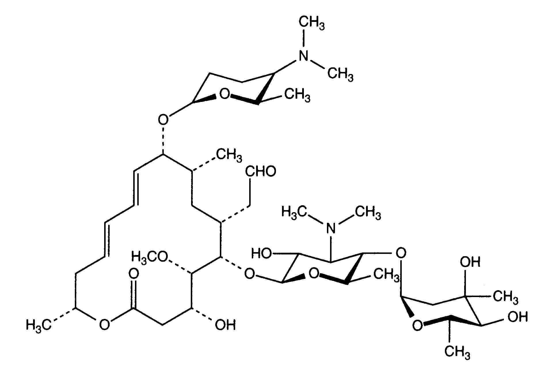
   keemiline struktuur  

Kaubanduslikud nimed erinevates maades   Kaubanduslikud nimed erinevates maades     

Preparaatide nimed on näitlikud ja abianete sisaldus võib erineda sõltuvalt riigist ja laborist

Rovamycine Poola, Prantsusmaa
Stabiilsus lahustes   Süsteravim   Stabiilsus lahustes : Spiramycine adipate     
konteiner lahusti kontsentratsioon temperatuur ladustamine Stabiilsuse kestus Viited
klaas süstevesi 0.375 MUI/ml ? pole täpsustatud
12 Tund
3563
Tootja info stabiilsuse kohta


  Mentions Légales