Letztes “update” :
05/12/2025
Antibiotikum   Spiramycine adipate  
Injektion
Stabilität der Lösung Gemengestabilität Stabilitätbeeinflussende Faktoren Kompatibilitäten Applikationsart Literaturverzeichnis pdf
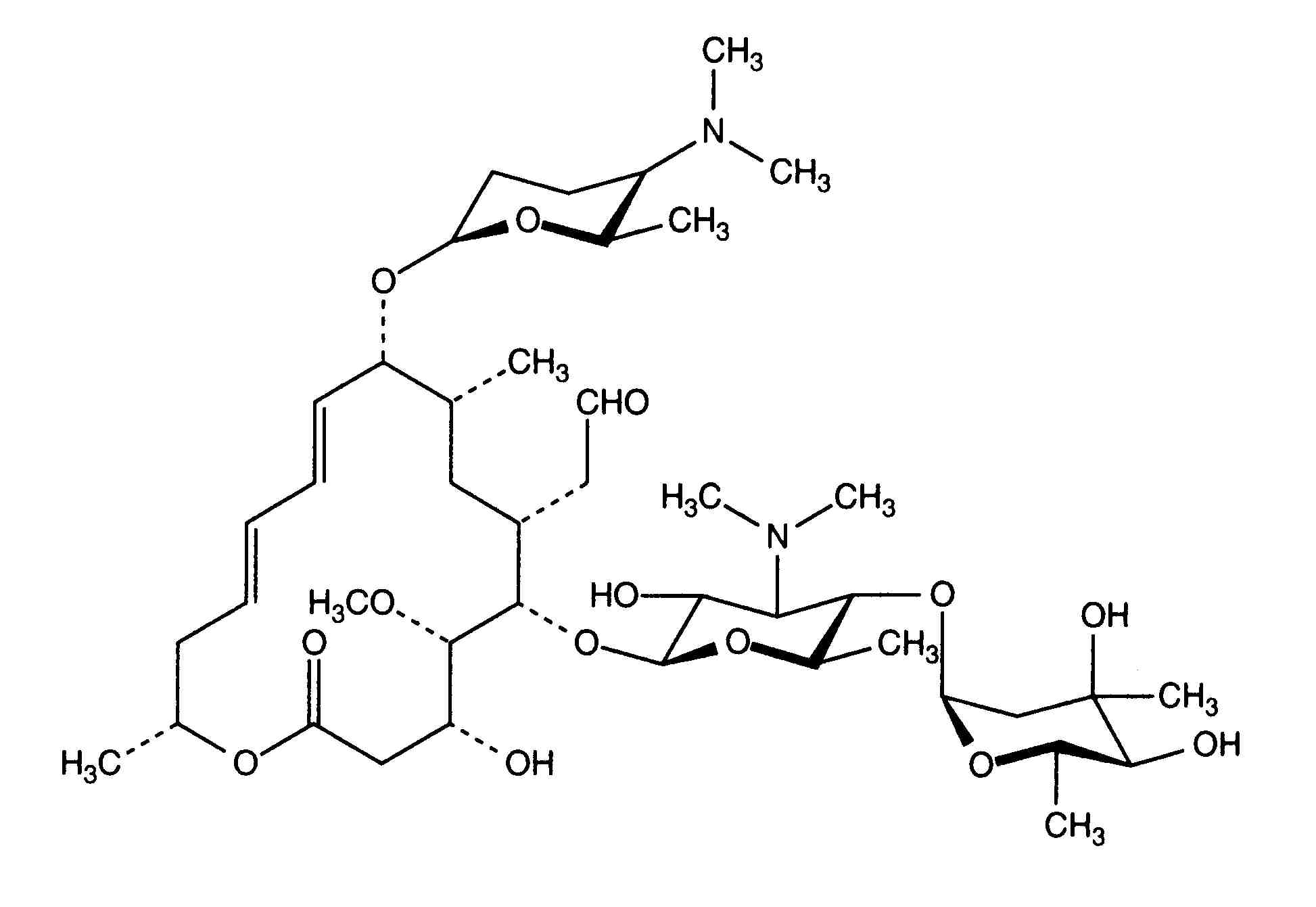
   Chemische Struktur  

Handelsmarke   Handelsmarke     

Handelsnamen sind als beispielhaft anzusehen. Sonstige Bestandteile können je nach Hersteller oder Land verschieden sein

Rovamycine Frankreich, Polen
Stabilität der Lösung   Injektion   Stabilität der Lösung : Spiramycine adipate     
Behälter Lösungsmittel Konzentration Temperatur Konservierung Dauer der Stabilität Literaturverzeichnis
Glas Wasser für injektable präparate 0.375 MUI/ml ? Nicht genau angegeben
12 Stunde
3563
Stabilitätsdaten des Herstellers


  Mentions Légales