آخر تحديث :
05/12/2025
مضاد حيوي   Spiramycine adipate  
حقن
الاستقرار في حلول استقرار مخاليط العوامل التي تؤثر على الاستقرار التوافق طريقة التعاطي مراجع pdf
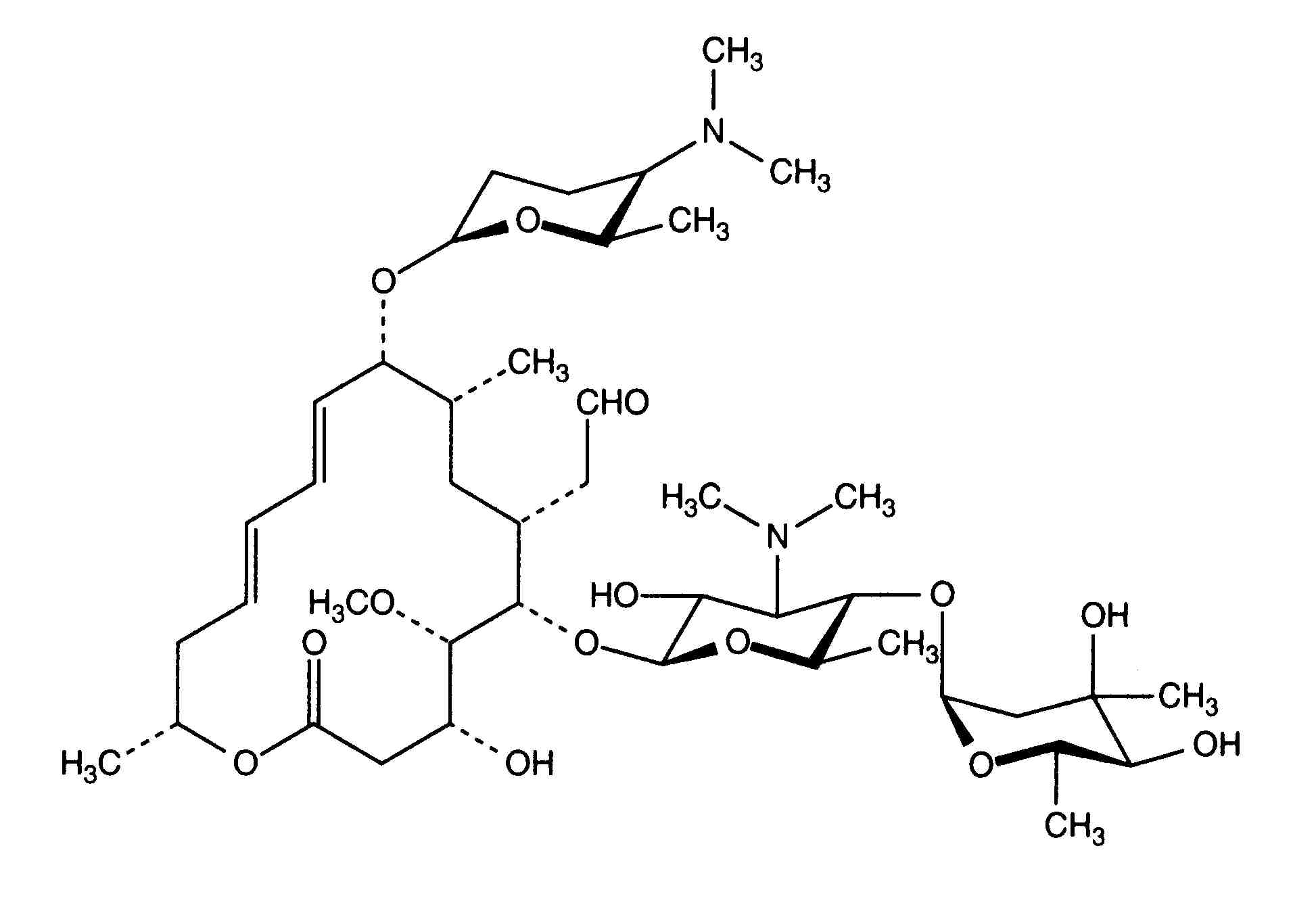
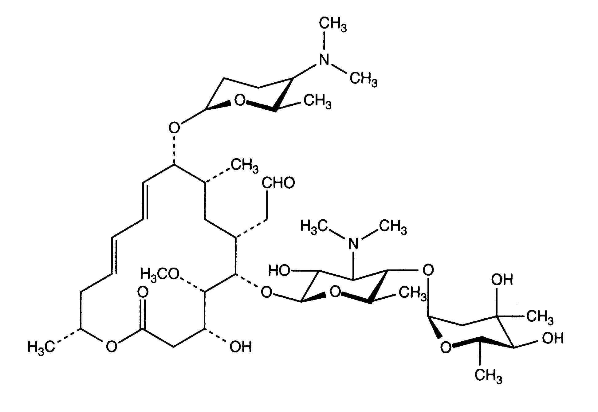
   التركيب الكيميائي  

حجز الاسم التجاري   حجز الاسم التجاري     

تحذير الأسماء التجاريه المختلفه قد تحتوي علي محتوي إضافات مختلفة حسب الدوله و المعمل

Rovamycine بولندا, فرنسا
الاستقرار في حلول   حقن   الاستقرار في حلول : Spiramycine adipate     
حاوية مذيب تركيز درجة الحرارة تخزين مدة الاستقرار مراجع
زجاج حقن المياه لل 0.375 MUI/ml ? لم يتم تحديد
12 ساعة
3563
بيانات الشركة المصنعة \\ \'ق الاستقرار


  Mentions Légales