Останнє оновлення :
27/01/2026
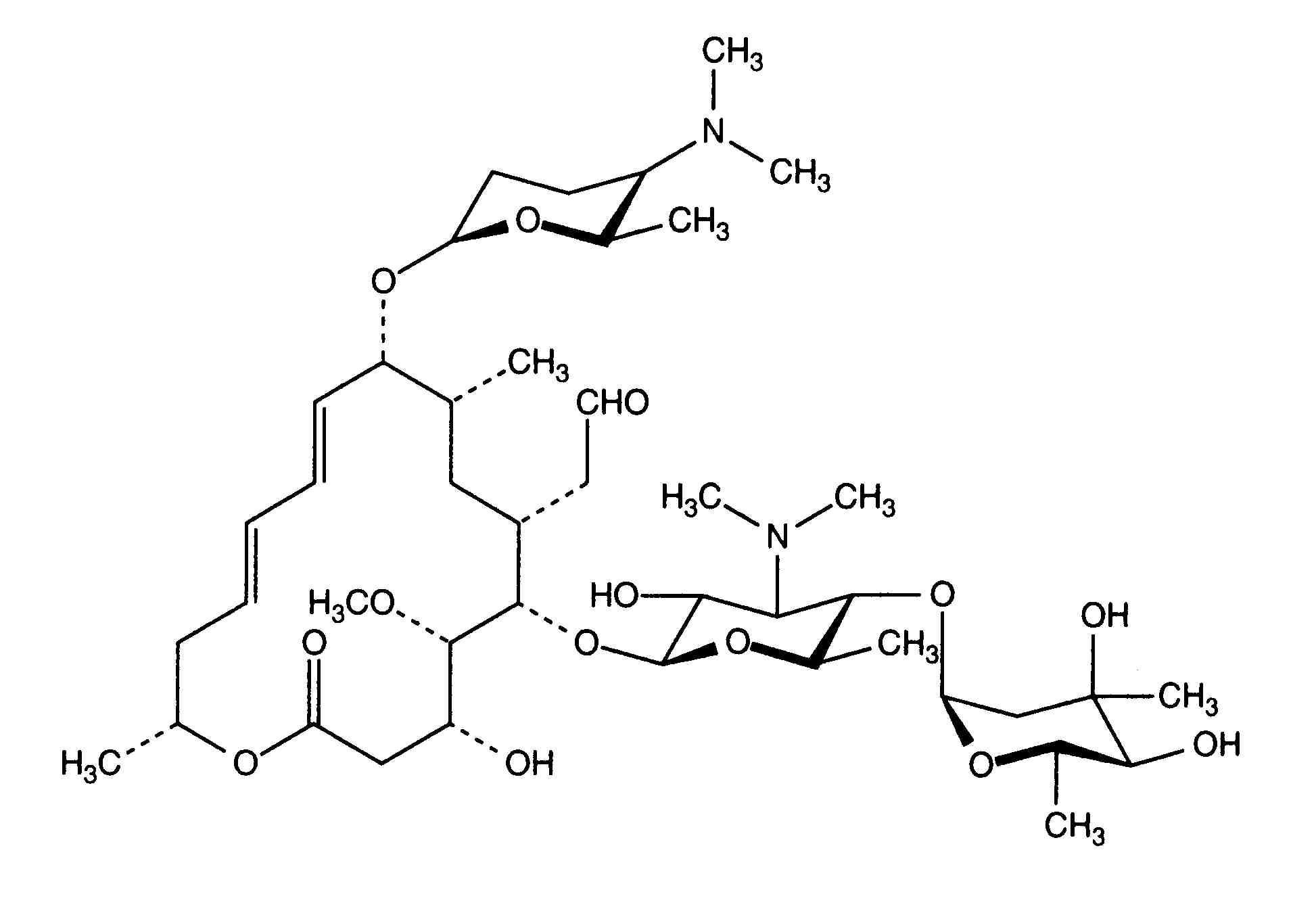
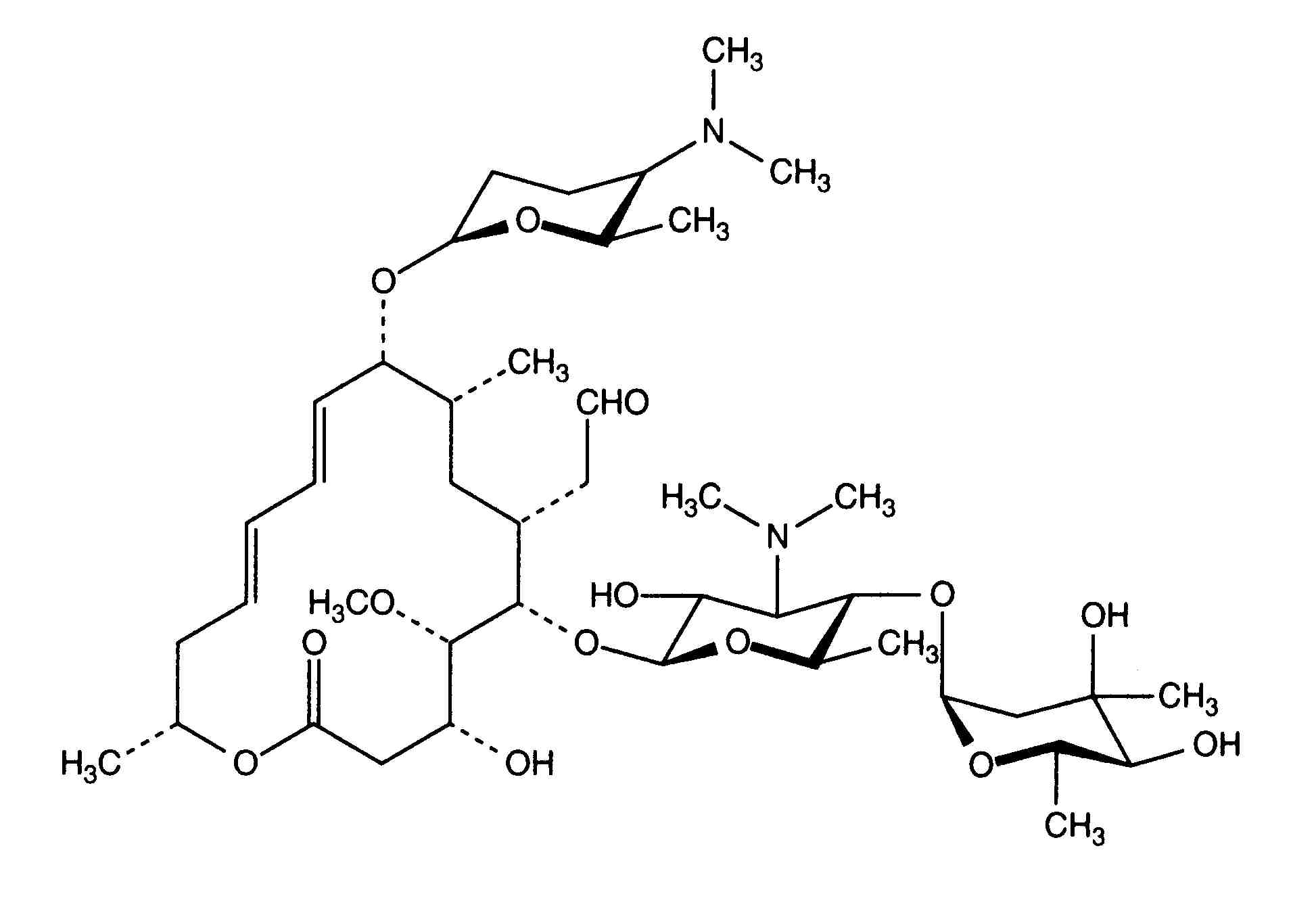
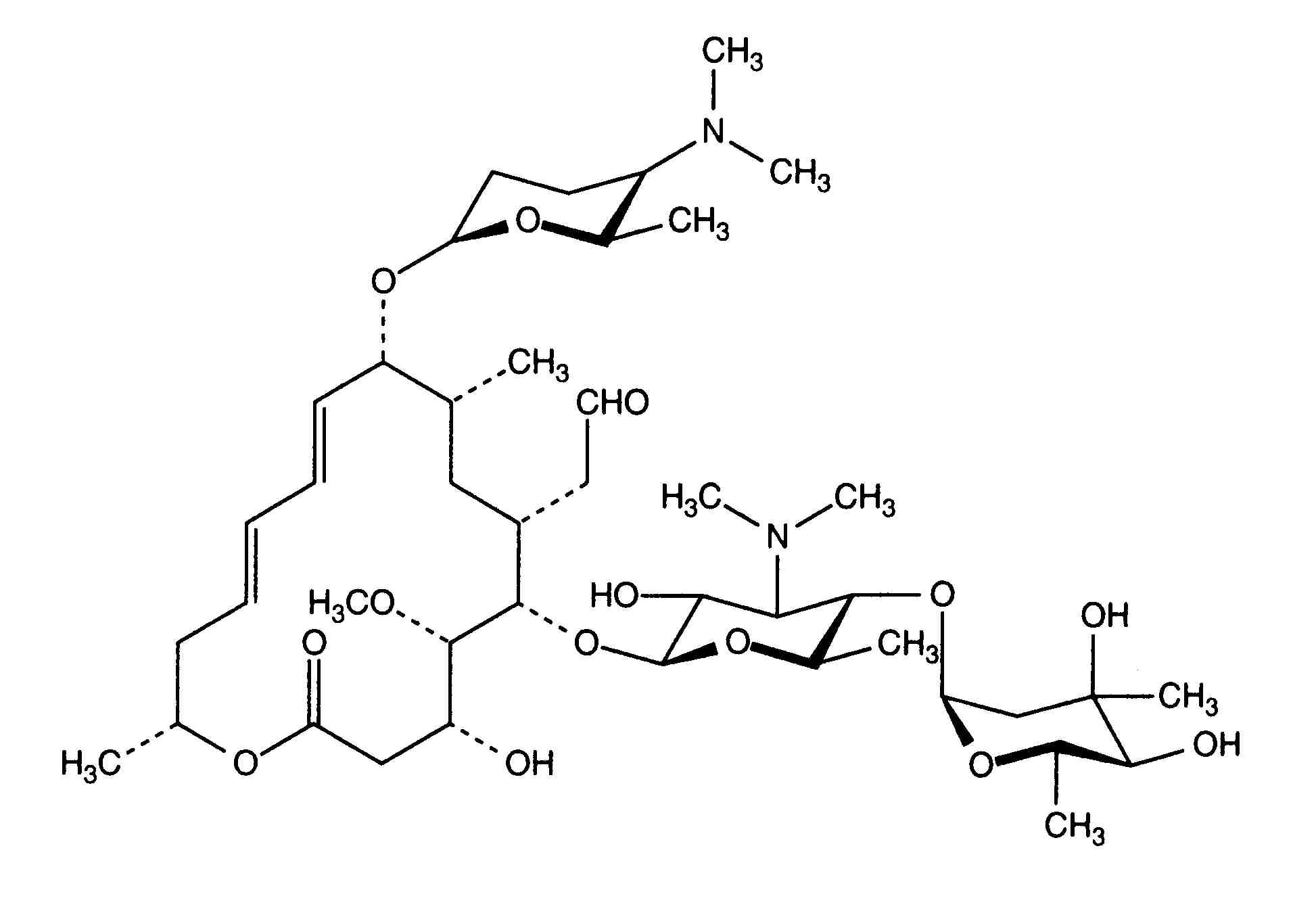
Антибіотик   Spiramycine adipate  
ін'єкція
Стійкість в розчинах Стійкість сумішей Фактори, що впливають на стабільність Сумісність Шлях введення Список літератури pdf
   Хімічна структура  

Торгова назва   Торгова назва     

Торгові назви є орієнтовними, а склад допоміжних речовин може бути різним залежно від країни та виробника

Rovamycine Польща, Франція
Шлях введення   Шлях введення :Spiramycine adipate     
Маршрут
Внутрішньовенне вливання

  Mentions Légales