Poslední aktualizace :
27/01/2026
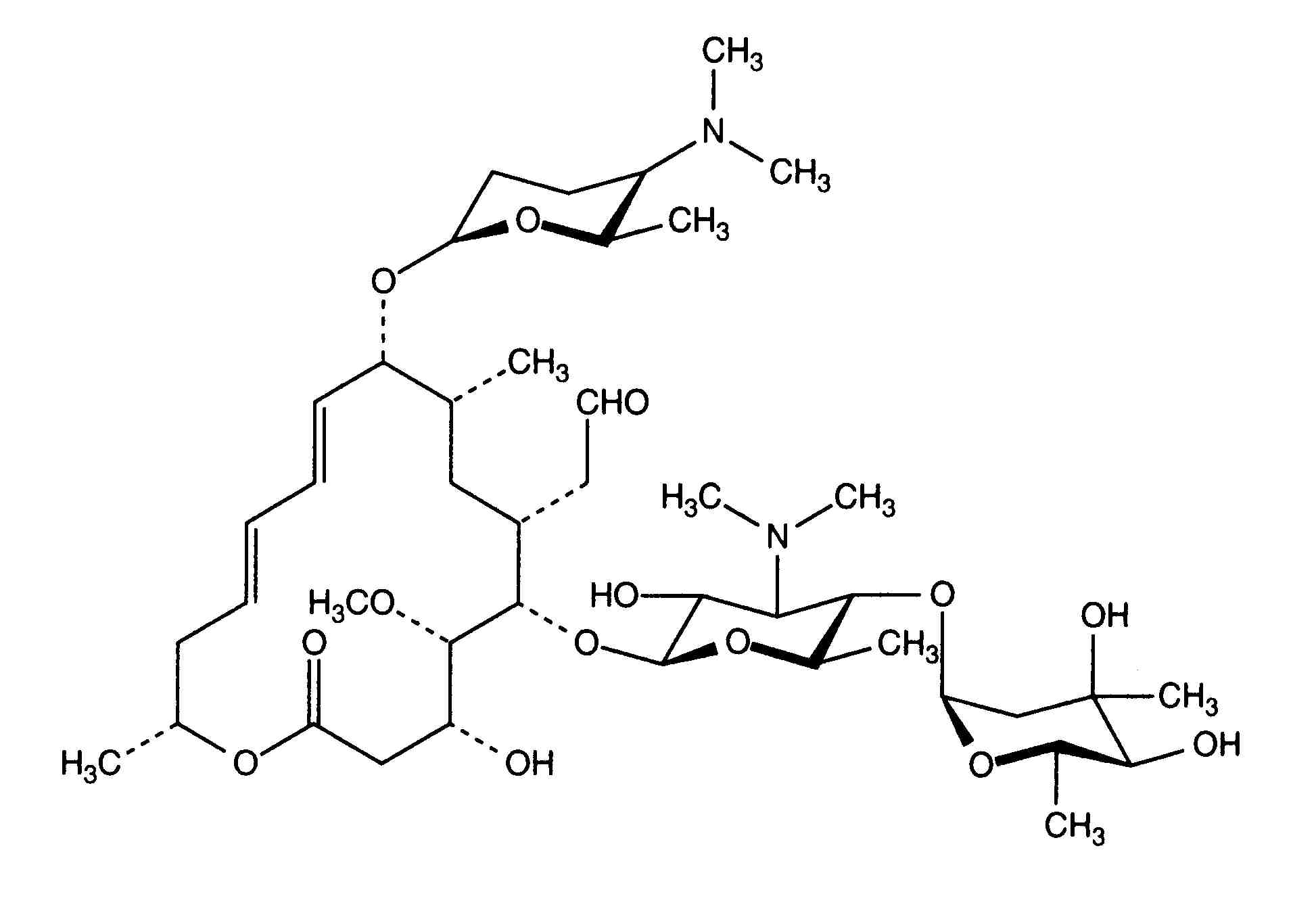
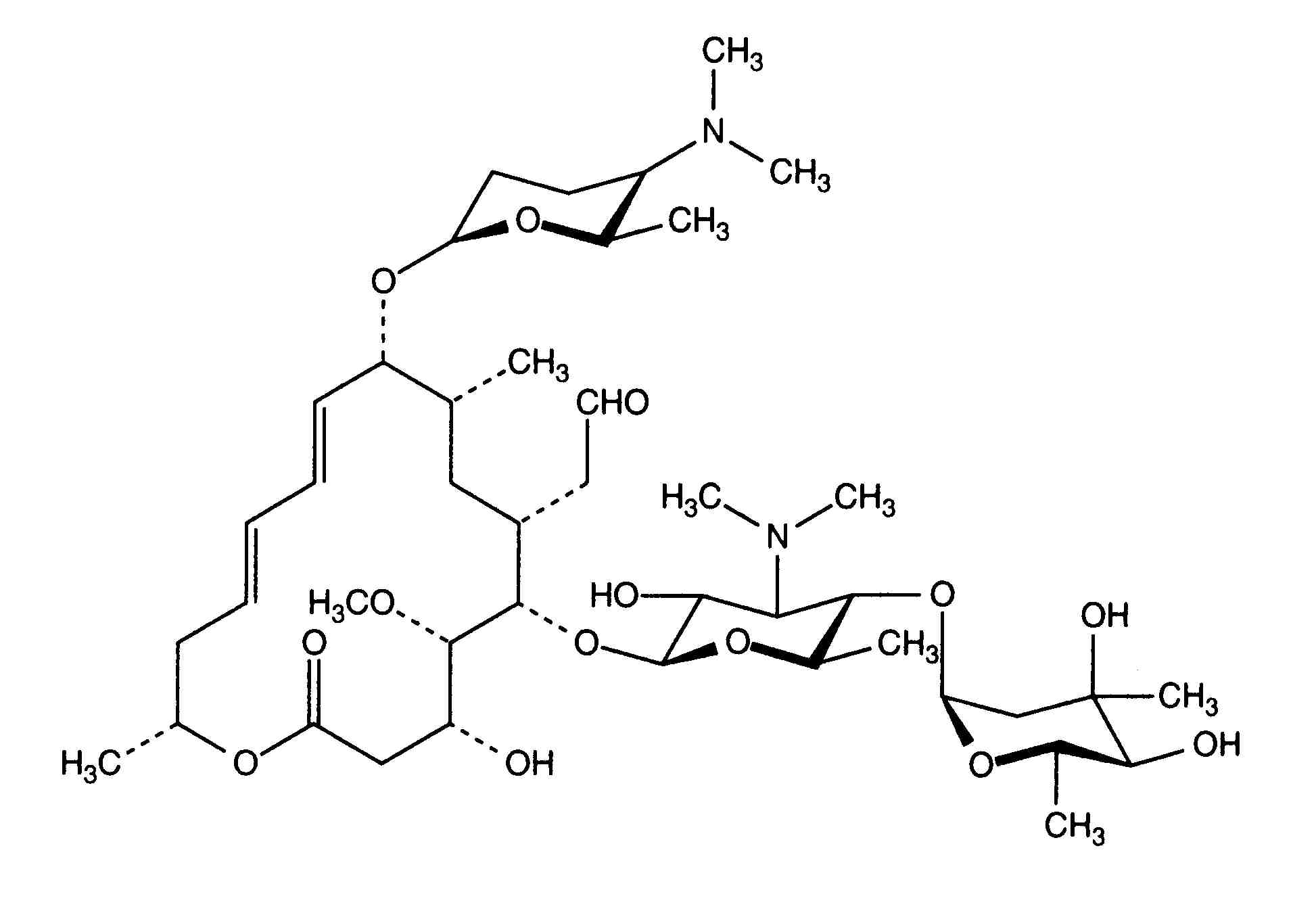
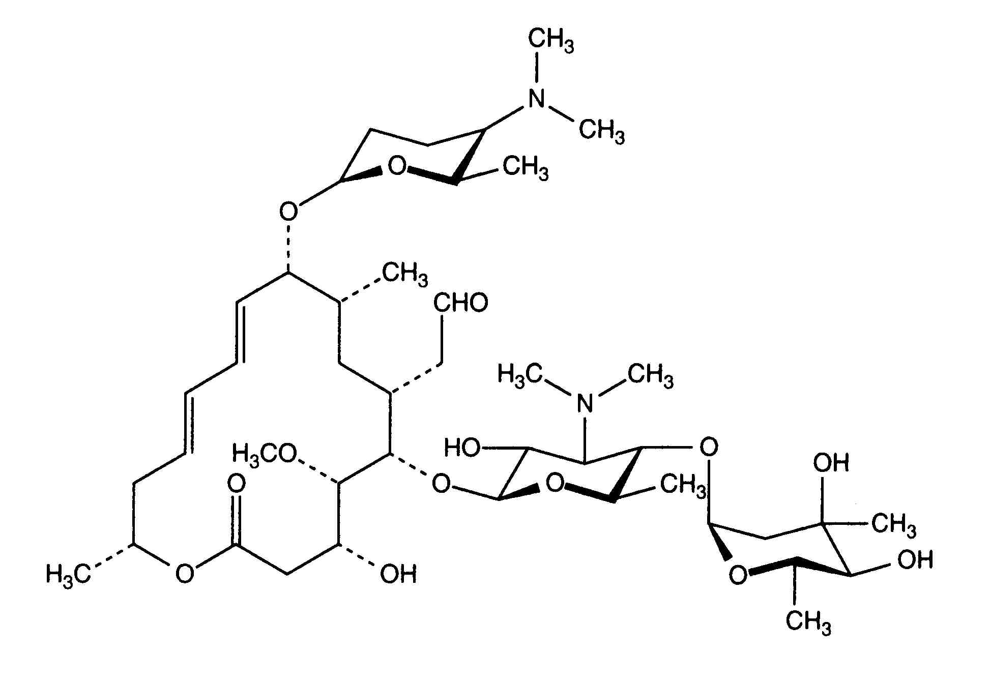
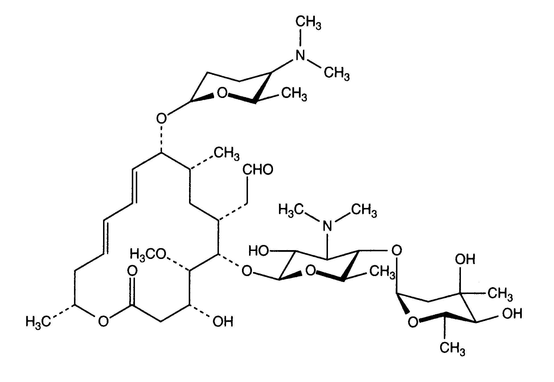
Antibiotikum   Spiramycine adipate  
injekce
Stabilita roztoků Stabilita směsí Faktory ovlivňující stabilitu Kompatibilita Způsoby aplikace Odkazy pdf
   Chemický vzorec  

Obchodní název   Obchodní název     

Trade names are indicative and excipients composition can be different depending on the country and manufacturers

Rovamycine Francie, Polsko
Způsoby aplikace   Způsoby aplikace :Spiramycine adipate     
Voie
Intravenózní infúze

  Mentions Légales