最新更新 :
27/01/2026
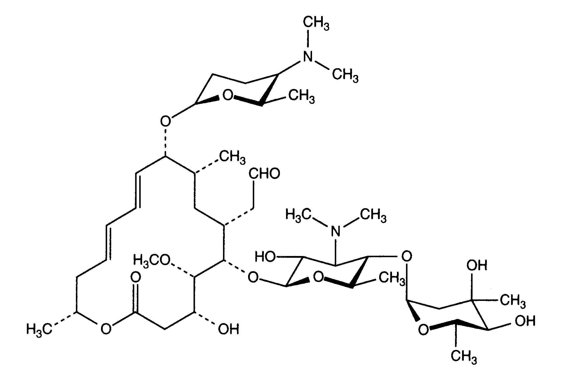
抗生素   Spiramycine adipate  
注射液
溶液稳定性 混合物稳定性 影响稳定性的因素 兼容性 用药途径 引用文献 PDF
   化学式  

商品名   商品名     

商品名仅供参考, 药品所用的辅料可能依国家或厂商不同有所不同。

Rovamycine 法国, 波兰
用药途径   用药途径 :Spiramycine adipate     
路线
静脉输液

  Mentions Légales