Zadnji put ažurirano :
27/01/2026
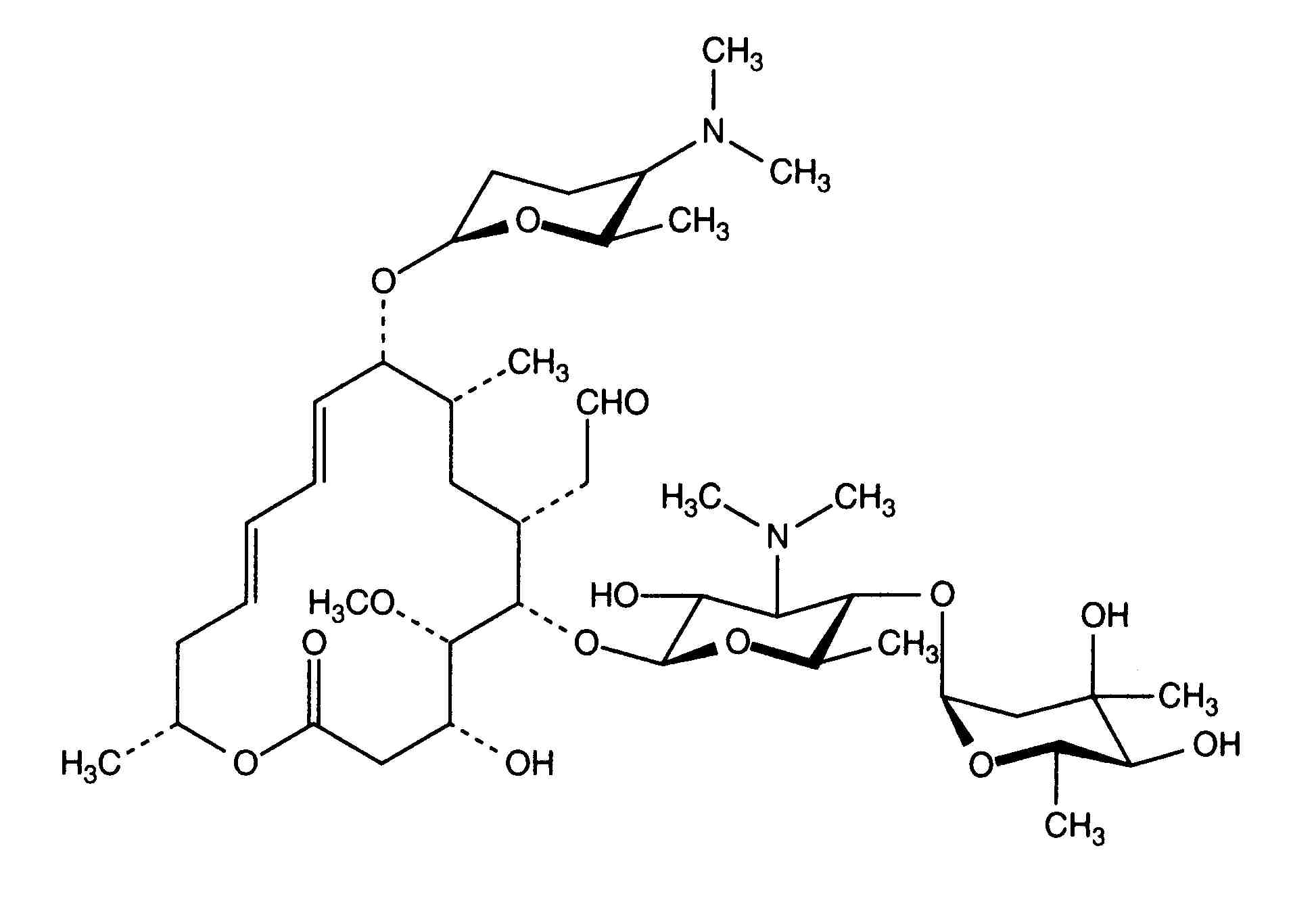
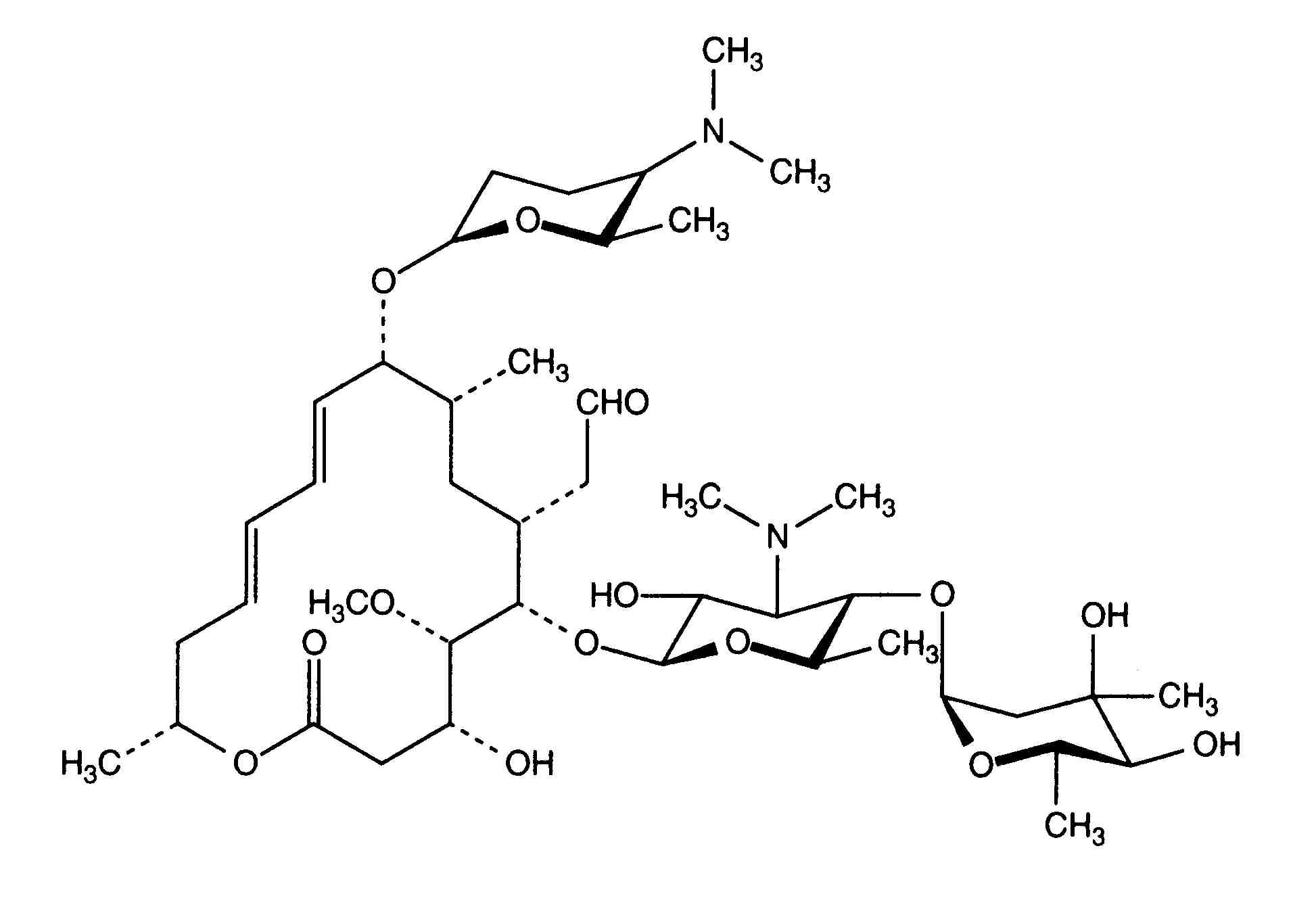
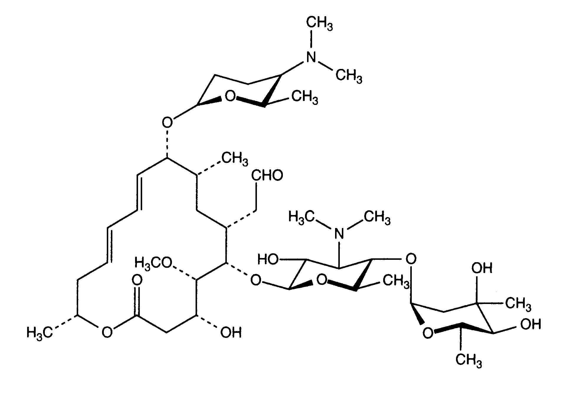
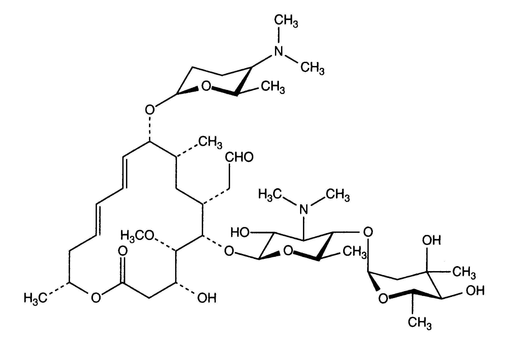
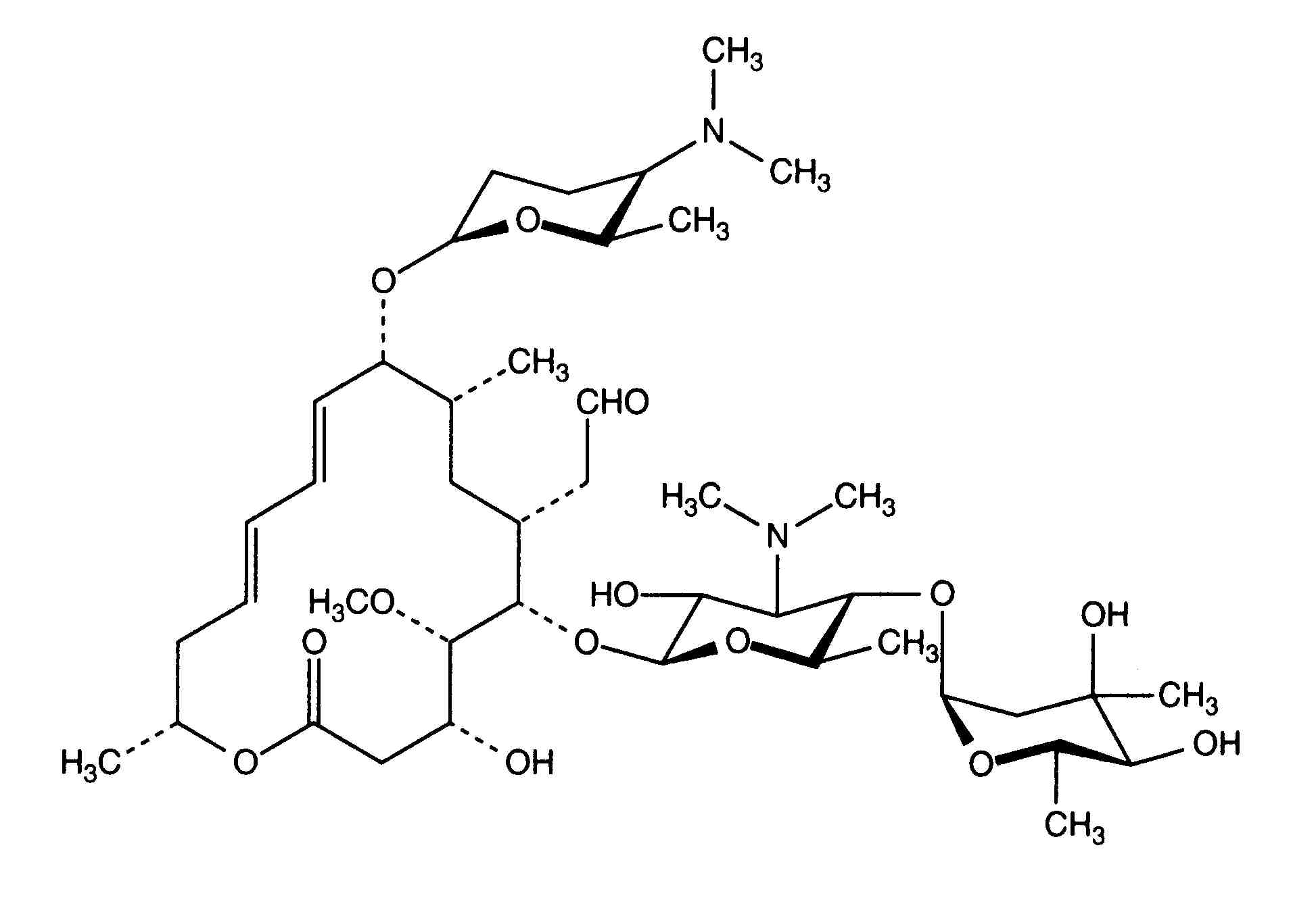
antibiotik   Spiramycine adipate  
injekcija
Stabilizacija rješenja Stabilnost mješavine Stabilizacijski faktor Kompatibilnosti način davanja lijeka Bibliografija pdf
   Kemijska struktura  

Nekomercijalni   Nekomercijalni     

Zaštićeni nazivi su indikativni i sastav ekscipijensa može biti različit ovisno o državi i laboratorijima

Rovamycine Francuska, Poljska
način davanja lijeka   način davanja lijeka :Spiramycine adipate     
Voie
intravenozna infuzija

  Mentions Légales