Ultimo aggiornamento :
05/12/2025
Antibiotico   Spiramycine adipate  
Iniezione
Stabilità in soluzione Stabilità in miscela Fattori che influenzano la stabilità Compatibilità metodo di iniezione Bibliografia pdf
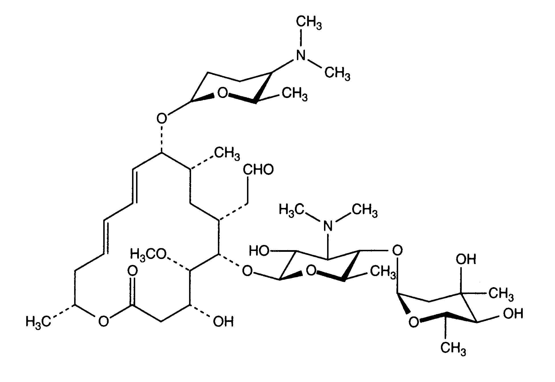
   Struttura chimica  

Nome commerciale   Nome commerciale     

Trade names are indicative and excipients composition can be different depending on the country and manufacturers

Rovamycine Francia, Polonia
metodo di iniezione   metodo di iniezione :Spiramycine adipate     
Voie
Flebo endovenosa

  Mentions Légales