Останнє оновлення :
27/01/2026
Протипухлинний препарат   Etoposide phosphate  
ін'єкція
Стійкість в розчинах Стійкість сумішей Фактори, що впливають на стабільність Сумісність Шлях введення Список літератури pdf
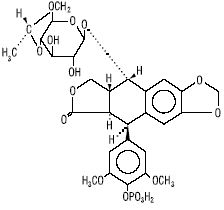
   Хімічна структура  

Торгова назва   Торгова назва     

Торгові назви є орієнтовними, а склад допоміжних речовин може бути різним залежно від країни та виробника

Etopofos Австрія, Греція, Швеція
Etopophos Ізраїль, Бельгія, Болгарія, Великобританія, Люксембург, Нідерланди, Німеччина, Нова Зеландія, Польща, Сполучені Штати Америки, Франція, Швейцарія
Список літератури   ін'єкція   Список літератури : Etoposide phosphate  
Тип Публікація
1410 журнал Trissel LA, Martinez JF, Simmons M.
Compatibility of etoposide phosphate with selected drugs during simulated Y-site injection.
J Am Pharm Assoc 1999 ; 39: 141-145.
1411 журнал Zhang Y, Trissel LA.
Physical and chemical stability of etoposide phosphate solutions.
J Am Pharm Assoc 1999 ; 39: 146-150.
1423 журнал Trissel LA, Martinez JF, Gilbert DL.
Compatibility of gemcitabine hyrochloride with 107 selected drugs during simulated Y-site injection.
J Am Pharm Assoc 1999 ; 39: 514-518.
1606 журнал Yuan P, Grimes GJ, Shankman SE, Daniels CE, Goldspiel BR, Potti GK.
Compatibility and stability of vincristine sulfate, doxorubicin hydrochloride, and etoposide phosphate in 0.9% sodium chloride injection.
Am J Health-Syst Pharm 2001 ; 58: 594-598.
1625 журнал Trissel LA, Saenz C, Williams YW, Ingram D.
Incompatibilities of lansoprazole injection with other drugs during simulated Y-site coadministration.
Int J Pharm Compound 2001 ; 5: 314-321.
1662 журнал Trissel LA, Saenz CA, Ingram DS, Ogundele AB.
Compatibility screening of oxaliplatin during simulated Y-site administration with other drugs.
J Oncol Pharm Practice 2002 ; 8: 33-37.
1925 журнал Trissel LA , Williams KY, Gilbert DL.
Compatibility screening of linezolid injection during simulated Y-site administration with other drugs and infusion solutions.
J Am Pharm Assoc 2000 ; 40: 515-519.
1982 журнал Trissel LA, Ogundele AB.
Compatibility of anidulafungin with other drugs during simulated Y-site administration.
Am J Health-Syst Pharm 2005 ; 62: 834-837.
2247 журнал Chan P, Heatherly K, Kupiec T.C, Trissel L.A.
Compatibility of caspofungin acetate injection with other drugs during simulated Y-site coadministration.
Int J Pharm Compound 2008 ; 12, 3: 276-278.
2262 журнал Brammer MK, Chan P, Heatherly K, Trusley C, Kupiec TC, Trissel LA, Psathas PA, Gilmor T, Schaufelberger D.
Compatibility of doripenem with other drugs during simulated Y-site administratioN
Am J Health-Syst Pharm 2008 ; 65: 1261-1265.
3644 Виробник Calcium gluconate® - Summary of Product Characteristics
Hameln Pharmaceuticals 2010
3655 Виробник Etoposide phosphate (Etopophos®) - Résumé des caractéristiques du produit
Bristol Myers Squibb 2016
3838 Виробник Magnesium Sulphate - Summary of Product Characteristics
Martindale Pharmaceuticals Ltd 2007
4102 журнал Svirskis D, Behera S, Naidoo N, Beachman J, Raina T, Zhou Y, Berkahn L, Costello I, Gu Y.
Stability of vincristine sulfate, doxorubicin hydrochloride and etoposide phosphate admixtures in polyisoprene elastromeric pump supporting transition of the EPOCH regimen to oupatient care.
J Oncol Pharm Practice 2018 ;25,4:831-840.
4964 Виробник GLUCONATE DE CALCIUM 10 % B.BRAUN, solution pour perfusion - Résumé des caractéristiques du produit.
B BRAUN MELSUNGEN AG 2019

  Mentions Légales