Ostatnia aktualizacja :
27/01/2026
Lek cytostatyk   Etoposide phosphate  
Injekcje
Trwałość roztworów Trwałość w mieszaninie Czynnik wpływający na trwałość Zgodność Sposób podania Bibliografia pdf
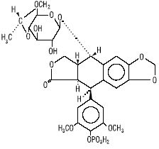
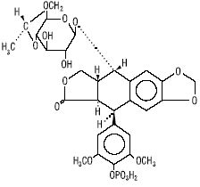
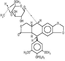
   Struktura chemiczna  

Nazwa handlowa   Nazwa handlowa     

Trade names are indicative and excipients composition can be different depending on the country and manufacturers

Etopofos Austria, Grecja, Szwecja
Etopophos Belgia, Bułgaria, Francja , Holandia, Israël, Luksemburg, Niemcy, nowa Zelandia, Polska, Stany Zjednoczone Ameryki, Szwajcaria, Wielka Brytania
Bibliografia   Injekcje   Bibliografia : Etoposide phosphate  
typ publikacja
1410 Czasopismo Trissel LA, Martinez JF, Simmons M.
Compatibility of etoposide phosphate with selected drugs during simulated Y-site injection.
J Am Pharm Assoc 1999 ; 39: 141-145.
1411 Czasopismo Zhang Y, Trissel LA.
Physical and chemical stability of etoposide phosphate solutions.
J Am Pharm Assoc 1999 ; 39: 146-150.
1423 Czasopismo Trissel LA, Martinez JF, Gilbert DL.
Compatibility of gemcitabine hyrochloride with 107 selected drugs during simulated Y-site injection.
J Am Pharm Assoc 1999 ; 39: 514-518.
1606 Czasopismo Yuan P, Grimes GJ, Shankman SE, Daniels CE, Goldspiel BR, Potti GK.
Compatibility and stability of vincristine sulfate, doxorubicin hydrochloride, and etoposide phosphate in 0.9% sodium chloride injection.
Am J Health-Syst Pharm 2001 ; 58: 594-598.
1625 Czasopismo Trissel LA, Saenz C, Williams YW, Ingram D.
Incompatibilities of lansoprazole injection with other drugs during simulated Y-site coadministration.
Int J Pharm Compound 2001 ; 5: 314-321.
1662 Czasopismo Trissel LA, Saenz CA, Ingram DS, Ogundele AB.
Compatibility screening of oxaliplatin during simulated Y-site administration with other drugs.
J Oncol Pharm Practice 2002 ; 8: 33-37.
1925 Czasopismo Trissel LA , Williams KY, Gilbert DL.
Compatibility screening of linezolid injection during simulated Y-site administration with other drugs and infusion solutions.
J Am Pharm Assoc 2000 ; 40: 515-519.
1982 Czasopismo Trissel LA, Ogundele AB.
Compatibility of anidulafungin with other drugs during simulated Y-site administration.
Am J Health-Syst Pharm 2005 ; 62: 834-837.
2247 Czasopismo Chan P, Heatherly K, Kupiec T.C, Trissel L.A.
Compatibility of caspofungin acetate injection with other drugs during simulated Y-site coadministration.
Int J Pharm Compound 2008 ; 12, 3: 276-278.
2262 Czasopismo Brammer MK, Chan P, Heatherly K, Trusley C, Kupiec TC, Trissel LA, Psathas PA, Gilmor T, Schaufelberger D.
Compatibility of doripenem with other drugs during simulated Y-site administratioN
Am J Health-Syst Pharm 2008 ; 65: 1261-1265.
3644 Laboratorium Calcium gluconate® - Summary of Product Characteristics
Hameln Pharmaceuticals 2010
3655 Laboratorium Etoposide phosphate (Etopophos®) - Résumé des caractéristiques du produit
Bristol Myers Squibb 2016
3838 Laboratorium Magnesium Sulphate - Summary of Product Characteristics
Martindale Pharmaceuticals Ltd 2007
4102 Czasopismo Svirskis D, Behera S, Naidoo N, Beachman J, Raina T, Zhou Y, Berkahn L, Costello I, Gu Y.
Stability of vincristine sulfate, doxorubicin hydrochloride and etoposide phosphate admixtures in polyisoprene elastromeric pump supporting transition of the EPOCH regimen to oupatient care.
J Oncol Pharm Practice 2018 ;25,4:831-840.
4964 Laboratorium GLUCONATE DE CALCIUM 10 % B.BRAUN, solution pour perfusion - Résumé des caractéristiques du produit.
B BRAUN MELSUNGEN AG 2019

  Mentions Légales