Última actualização :
27/04/2026
antibiótico   Netilmicin sulfate  
injetável
aerossol
Estabilidade em soluções simples Estabilidade em misturas Factores que afectam a sua estabilidade Compatibilidade Método de administração Bibliografía pdf
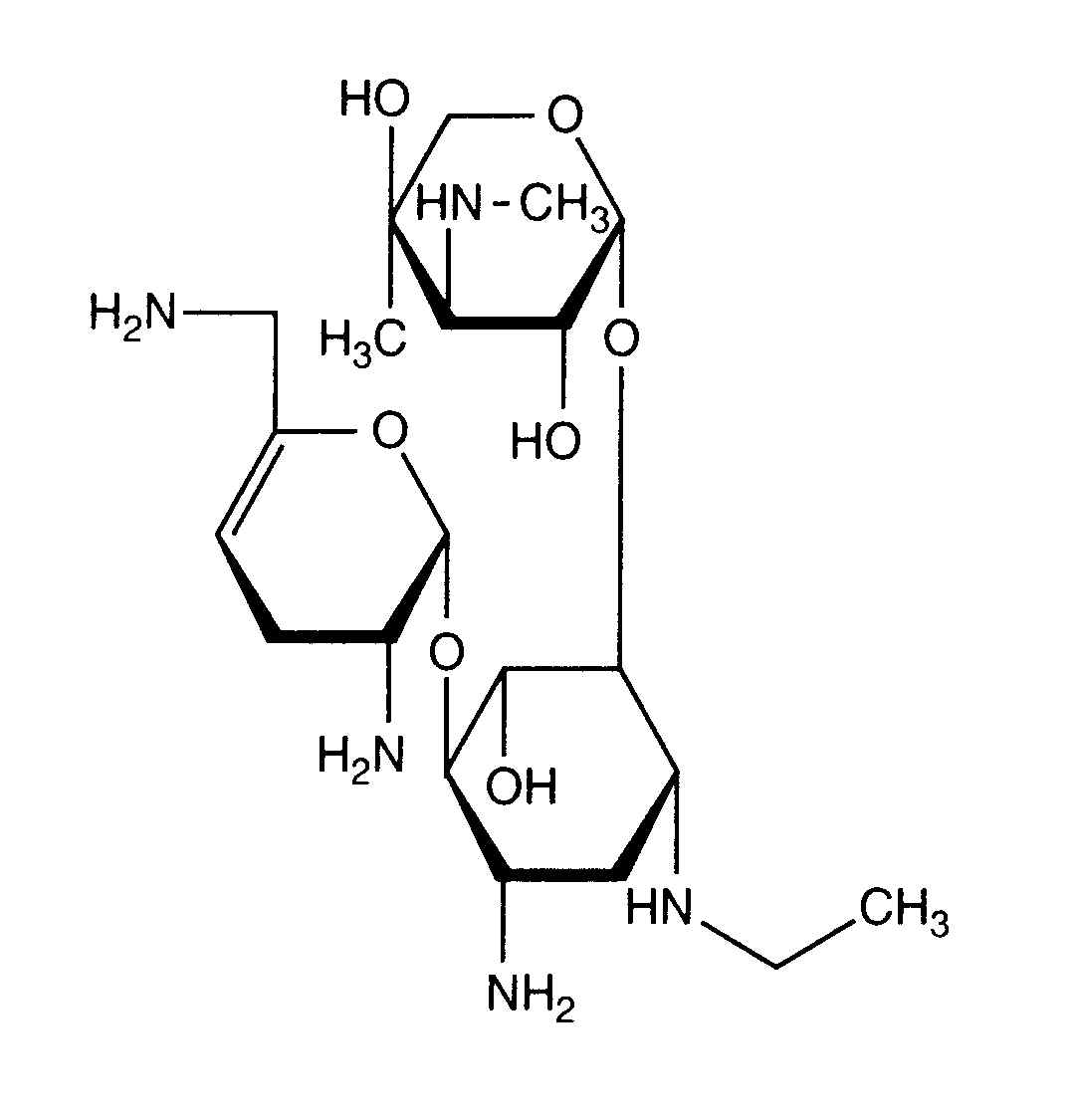
   estrutura química  

Nomes comerciais nos diversos países   Nomes comerciais nos diversos países     

OS NOMES COMERCIAIS SÃO INDICATIVOS E OS EXCIPIENTES DA FORMULAÇÃO PODEM SER DIFERENTES CONFORME O PAÍS E FABRICANTE.

Bactob Índia
Beltob Índia
Bramicil Itália
Brulamycin Hungria
Eltol Índia
Fytobra Índia
Gernebcin Alemanha
Komitub Índia
Nebcin Arábia Saudita, Australia, Egipto, Emirados Árabes Unidos, Gran-bretanha, Grècia, nova Zelândia
Nebcina Dinamarca, Marrocos, Noruega, Suècia
Nebcine Marrocos
Nebicina Itália
Netilyn Finlandia, Suècia
Netromicina Portugal
Netromicine França
Netromycine Grècia, Polonia, russo, Turquia
Nettacin Itália
Obracin Bélgica, Luxemburgo, Países Baixos, Suicia
Tobra Alemanha
Tobra Alex Egipto
Tobra Day nova Zelândia
Tobra Gobens Espanha
Tobracin Egipto
Tobradistin Espanha
Tobramicina Espanha, Itália, Portugal, Venezuela
Tobramina Brasil
Tobramycin Alemanha, Arábia Saudita, Australia, Canadá, Estados Unidos de América, Gran-bretanha, Irlanda, Noruega
Tobramycine França, Irlanda, Países Baixos
Tobrasix Austria
Tobrazid Alemanha
Tomycin Finlandia
Zetamicin Itália
Método de administração   Método de administração :Netilmicin sulfate     
Voie
intravenoso
perfusão intravenosa
intramuscular
intratecal

  Mentions Légales