Posledná aktualizácia :
27/04/2026
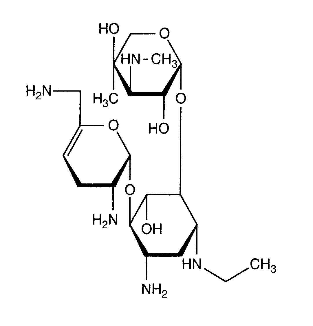
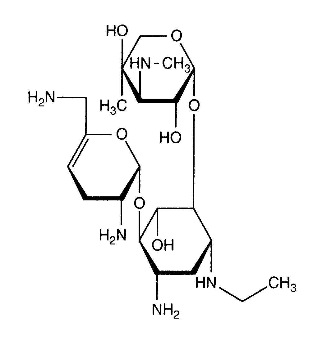
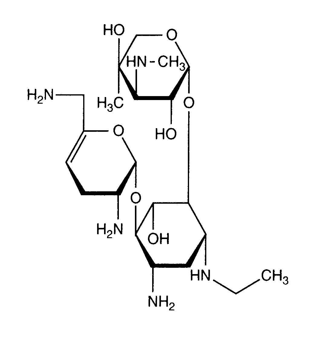
antibiotikum   Netilmicin sulfate  
Injekcia
Aerosól
Stabilita roztokov Stabilita v zmesiach Faktory ovplyvňujúce stabilitu Kompatibility spôsob podania Odkazy na literatúru PDF
   Chemický vzorec  

Obchodný názov   Obchodný názov     

Obchodné názvy sú orientačné, a zloženie pomocných látok sa môže líšiť v závislosti od krajiny a výrobcu.

Bactob India
Beltob India
Bramicil Taliansko
Brulamycin Maďarsko
Eltol India
Fytobra India
Gernebcin Nemecko
Komitub India
Nebcin Austrália, Egypt, Grécko, nový Zéland, Saudská Arábia, Spojené arabské emiráty, Veľká Británia
Nebcina Dánsko, Maroko, Nórsko, Švédsko
Nebcine Maroko
Nebicina Taliansko
Netilyn Fínsko, Švédsko
Netromicina Portugalsko
Netromicine Francúzsko
Netromycine Grécko, Poľsko, ruský, Turecko
Nettacin Taliansko
Obracin Belgicko, Holandsko, Luxembursko, Švajčiarsko
Tobra Nemecko
Tobra Alex Egypt
Tobra Day nový Zéland
Tobra Gobens Španielsko
Tobracin Egypt
Tobradistin Španielsko
Tobramicina Portugalsko, Španielsko, Taliansko, Venezuela
Tobramina Brazília
Tobramycin Austrália, Írsko, Kanada, Nemecko, Nórsko, Saudská Arábia, Spojené štáty Americké, Veľká Británia
Tobramycine Francúzsko, Holandsko, Írsko
Tobrasix Rakúsko
Tobrazid Nemecko
Tomycin Fínsko
Zetamicin Taliansko
spôsob podania   spôsob podania :Netilmicin sulfate     
Voie
intravenózne
intravenózna infúzia
intramuskulárne
intratekálne

  Mentions Légales