Ultimele actualizari :
27/04/2026
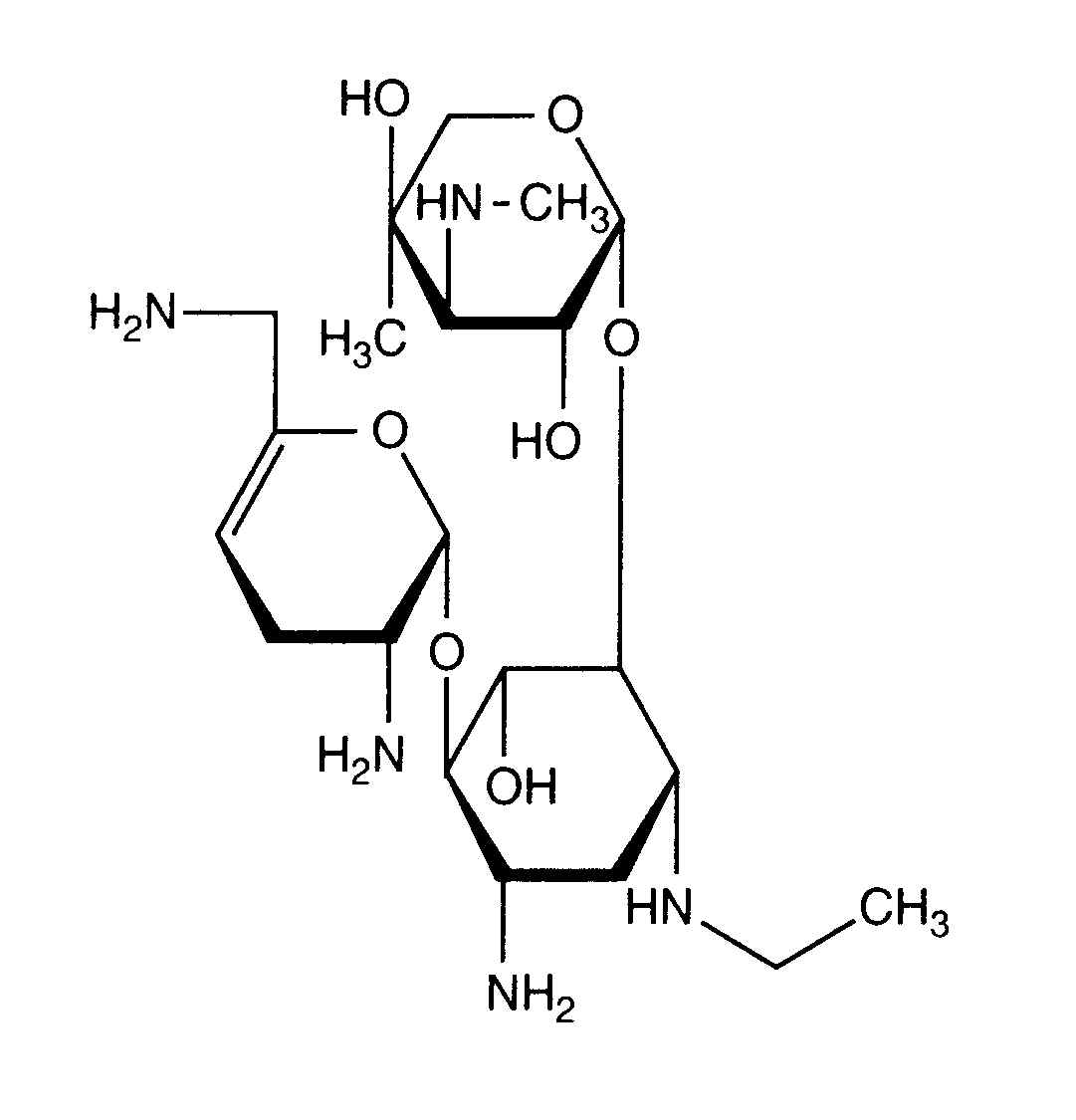
Antibiotic   Netilmicin sulfate  
Injectabil
Aerosol
Stabilitatea in solutie Stabilitatea in amestec Factorii care influenteaza stabilitatea Compatibilitate Microunde Bibliografie pdf
   Formula chimica  

Denumirea comerciala   Denumirea comerciala     

Trade names are indicative and excipients composition can be different depending on the country and manufacturers

Bactob India
Beltob India
Bramicil Italia
Brulamycin Ungaria
Eltol India
Fytobra India
Gernebcin Germania
Komitub India
Nebcin Arabia Saudita, Australia, Egipt, Emiratele Arabe Unite, Grecia, Marea Britanie, noua Zeelandă
Nebcina Danemarca, Maroc, Norvegia, Suedia
Nebcine Maroc
Nebicina Italia
Netilyn Finlanda, Suedia
Netromicina Portugalia
Netromicine Franta
Netromycine Grecia, Polonia, rusa, Turcia
Nettacin Italia
Obracin Belgia, Elvetia, Luxemburg, Olanda
Tobra Germania
Tobra Alex Egipt
Tobra Day noua Zeelandă
Tobra Gobens Spania
Tobracin Egipt
Tobradistin Spania
Tobramicina Italia, Portugalia, Spania, Venezuela
Tobramina Brazilia
Tobramycin Arabia Saudita, Australia, Canada, Germania, Irlanda, Marea Britanie, Norvegia, SUA
Tobramycine Franta, Irlanda, Olanda
Tobrasix Austria
Tobrazid Germania
Tomycin Finlanda
Zetamicin Italia

Factorii care influenteaza stabilitatea   Injectabil   Factorii care influenteaza stabilitatea : Netilmicin sulfate        
Absenta de date

  Mentions Légales