Τελευταία ενημέρωση :
27/04/2026
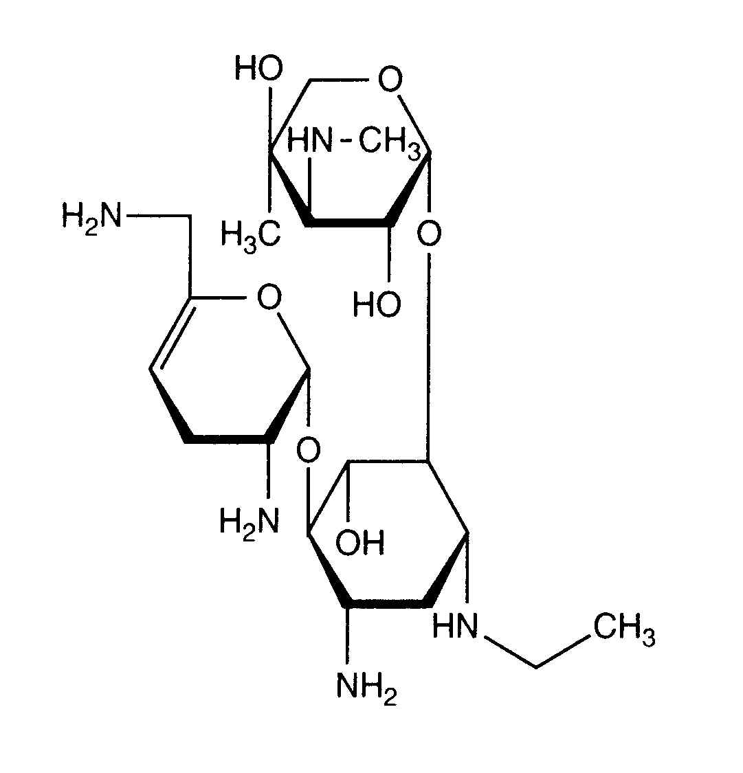
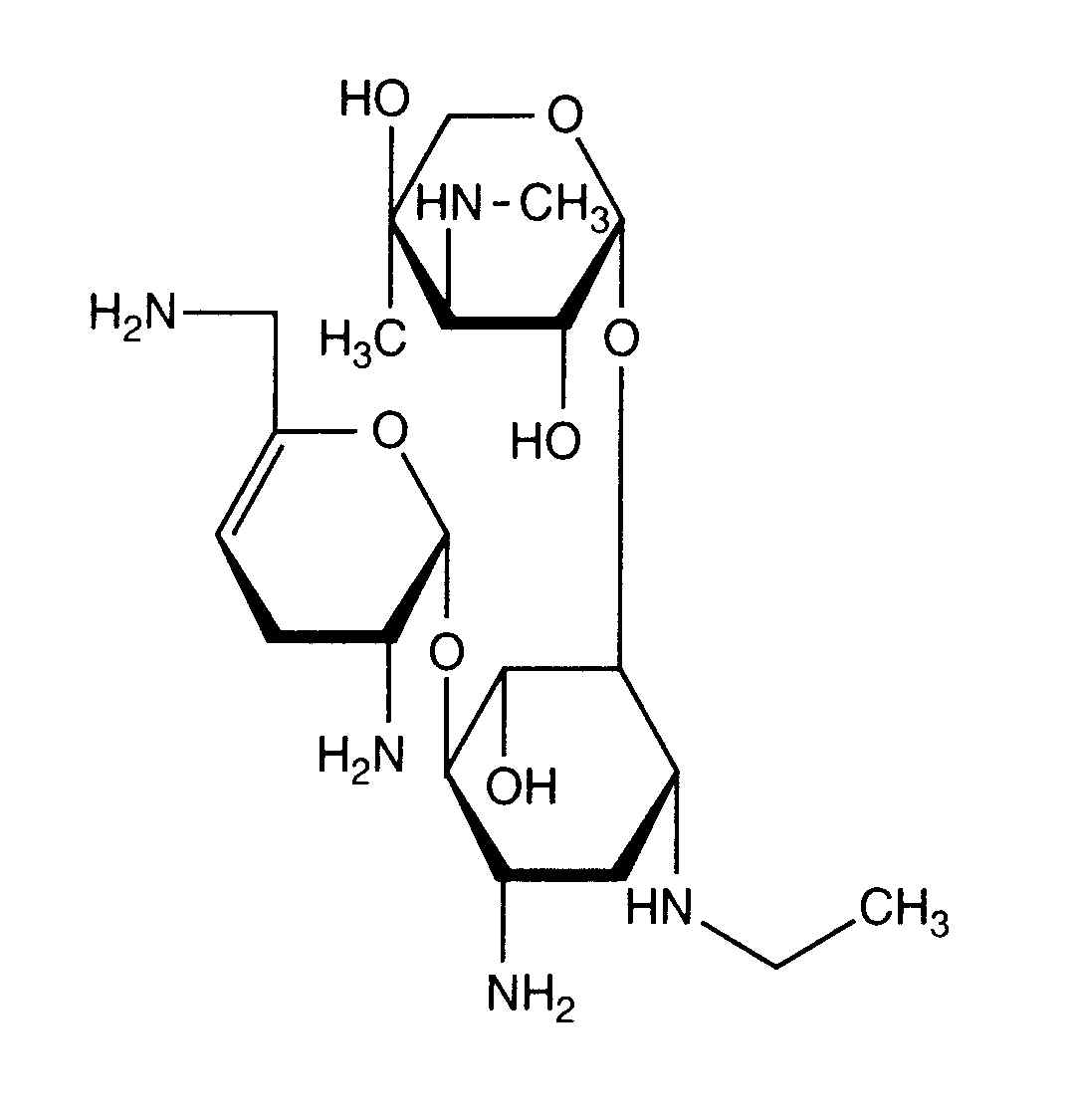
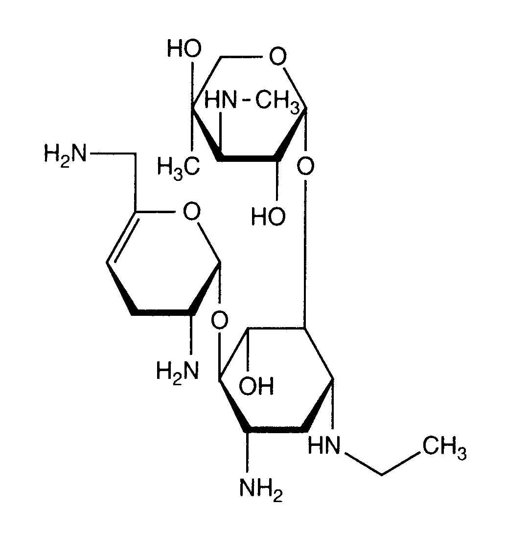
Αντιβιοτικό   Netilmicin sulfate  
Ενέσιμο
Αεροζόλ
Σταθερότητα διαλυμάτων Σταθερότητα σε μίγματα Παράγοντας που επηρεάζει τη σταθερότητα Συμβατότητες Τρόπος χορήγησης Βιβλιογραφία pdf
   χημική δομή  

Εμπορική ονομασία   Εμπορική ονομασία     

Οι εμπορικές ονομασίες είναι ενδεικτικές και η σύνθεση των εκδόχων μπορεί να διαφέρει ανάλογα με τη χώρα και τα εργαστήρια

Bactob Ινδία
Beltob Ινδία
Bramicil Ιταλία
Brulamycin Ουγγαρία
Eltol Ινδία
Fytobra Ινδία
Gernebcin Γερμανία
Komitub Ινδία
Nebcin Yhdistyneet arabiemiirikunnat, Αίγυπτος, Αυστραλία, Ελλάδα, Μεγάλη Βρετανία, νέα Ζηλανδία, Σαουδική Αραβία
Nebcina Δανία, Μαρόκο, Νορβηγία, Σουηδία
Nebcine Μαρόκο
Nebicina Ιταλία
Netilyn Σουηδία, Φινλανδία
Netromicina Πορτογαλία
Netromicine Γαλλία
Netromycine Ελλάδα, Πολωνία, Ρωσικά, Τουρκία
Nettacin Ιταλία
Obracin Βέλγιο, Ελβετία, Λουξεμβούργο, Ολλανδία
Tobra Γερμανία
Tobra Alex Αίγυπτος
Tobra Day νέα Ζηλανδία
Tobra Gobens Ισπανία
Tobracin Αίγυπτος
Tobradistin Ισπανία
Tobramicina Βενεζουέλα, Ισπανία, Ιταλία, Πορτογαλία
Tobramina Βραζιλία
Tobramycin Αυστραλία, Γερμανία, Η.Π.Α., Ιρλανδία, Καναδάς, Μεγάλη Βρετανία, Νορβηγία, Σαουδική Αραβία
Tobramycine Γαλλία, Ιρλανδία, Ολλανδία
Tobrasix Αυστρία
Tobrazid Γερμανία
Tomycin Φινλανδία
Zetamicin Ιταλία

Παράγοντας που επηρεάζει τη σταθερότητα   Ενέσιμο   Παράγοντας που επηρεάζει τη σταθερότητα : Netilmicin sulfate        
Δεν υπάρχουν πληροφορίες

  Mentions Légales