Pēdējā atjaunošana :
27/04/2026
Antibiotika   Netilmicin sulfate  
Injekcija
Aerosols
Šķīduma stabilitāte Maisījuma stabilitāte Stabilitāti ietekmējoši faktori Saderība Levadīšanas veids Literatūras saraksts pdf
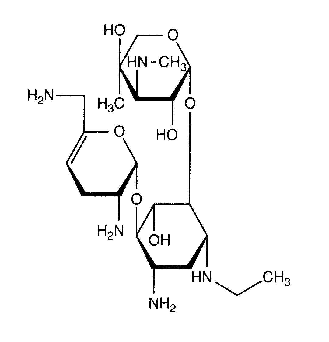
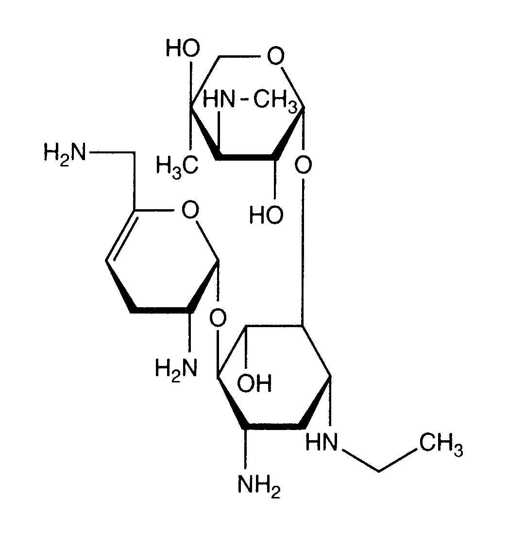
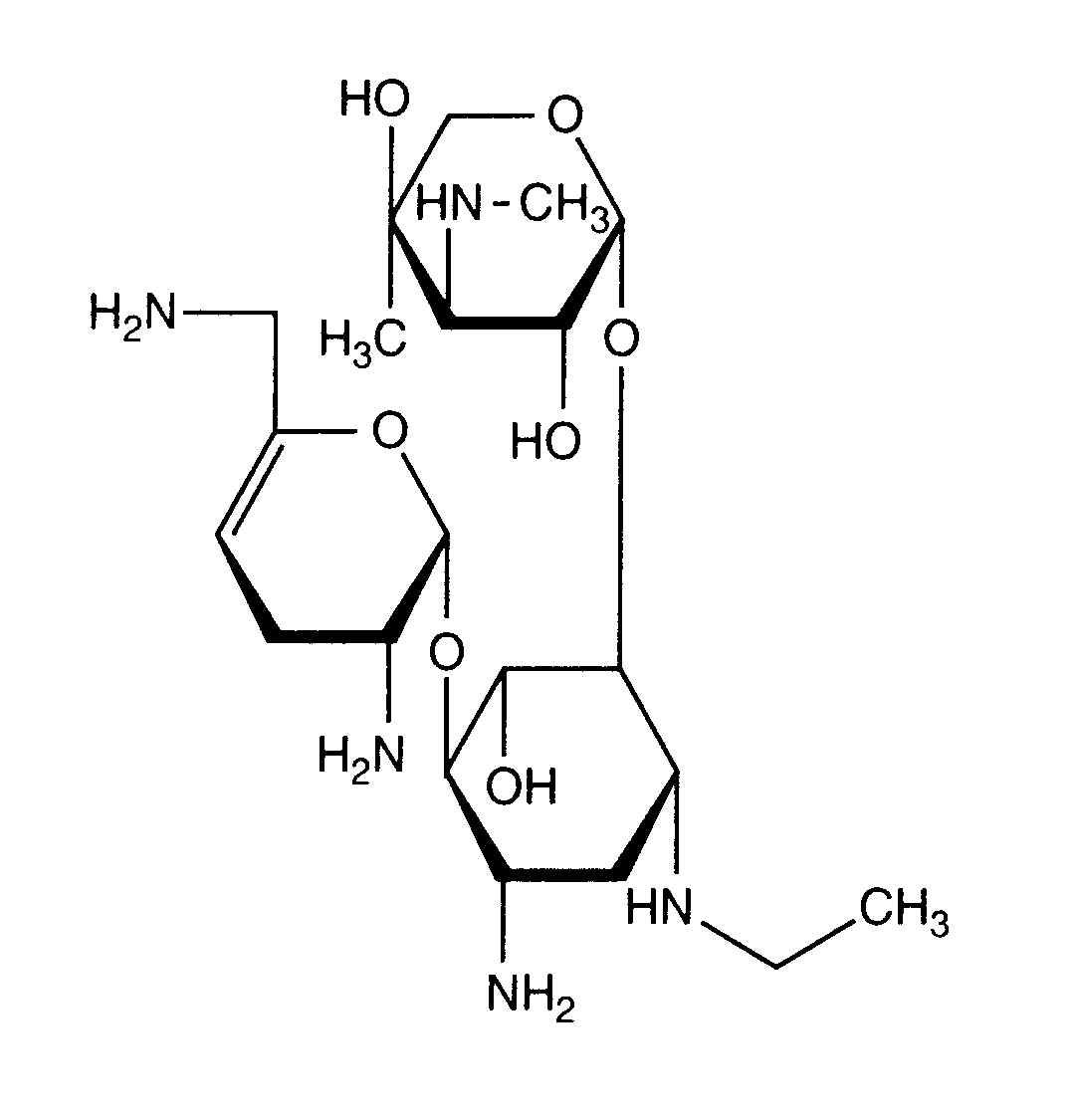
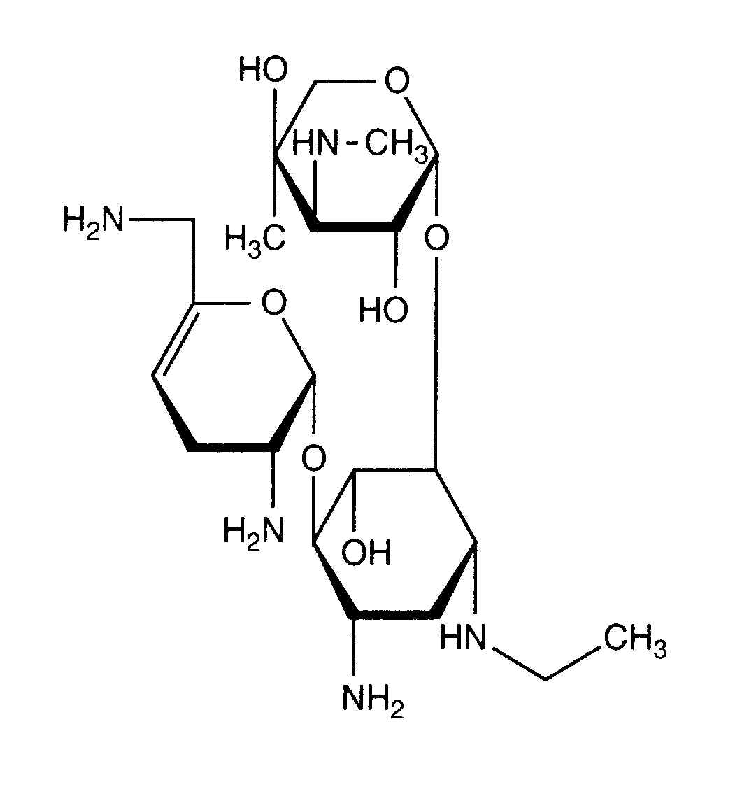
   Ķīmiskā uzbūve   

Oriģinālais nosaukums   Oriģinālais nosaukums     

Tirdzniecības nosaukumi ir apzīmējoši un palīgvielas var atšķirties dažādām valstīm un laboratorijām

Bactob Indija
Beltob Indija
Bramicil Itālija
Brulamycin Ungārija
Eltol Indija
Fytobra Indija
Gernebcin Vācija
Komitub Indija
Nebcin Apvienotie Arābu Emirāti, Austrālija, Ēģipte, Grieķija, Jaunzēlande, Lielbritānija, Saūda Arābija
Nebcina Dānija, Maroka, Norvēģija, Zviedrija
Nebcine Maroka
Nebicina Itālija
Netilyn Somija, Zviedrija
Netromicina Portugāle
Netromicine Francija
Netromycine Grieķija, krievu, Polija, Turcija
Nettacin Itālija
Obracin Beļģija, Holande, Luksemburga, Šveice
Tobra Vācija
Tobra Alex Ēģipte
Tobra Day Jaunzēlande
Tobra Gobens Spānija
Tobracin Ēģipte
Tobradistin Spānija
Tobramicina Itālija, Portugāle, Spānija, Venecuēla
Tobramina Brazīlija
Tobramycin Amerikas Savienotās Valstis, Austrālija, Īrija, Kanāda, Lielbritānija, Norvēģija, Saūda Arābija, Vācija
Tobramycine Francija, Holande, Īrija
Tobrasix Austrija
Tobrazid Vācija
Tomycin Somija
Zetamicin Itālija

Stabilitāti ietekmējoši faktori   Injekcija   Stabilitāti ietekmējoši faktori : Netilmicin sulfate        
Nav datu

  Mentions Légales