Última actualización :
05/12/2025
Anticoagulante   Heparin sodium  
Inyectables
Estabilidad en solucion Estabilidad en mezcla Factores que influyen sobre la estabilidad Compatibilidades método de inyección Bibliografía pdf
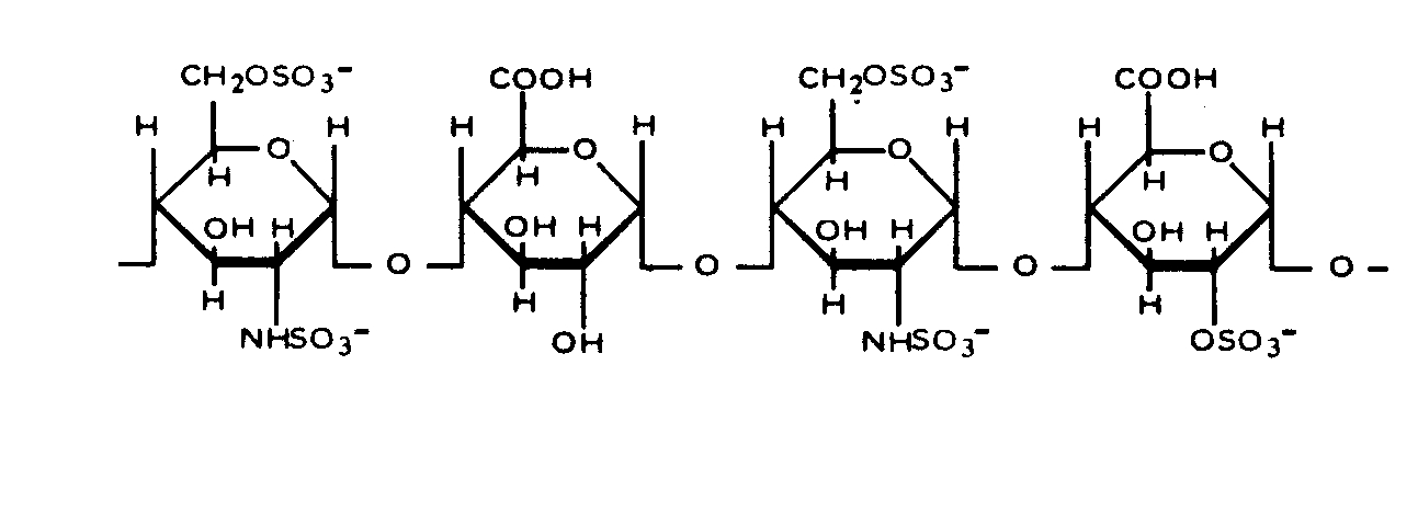
   Estructura química  

Nombre comercial   Nombre comercial     

Los nombres comerciales son orientativos y los excipientes de la formulación pueden ser distintos dependiendo del país y del laboratorio fabricante.

Arapin Chile
Ateroclar Italia
Clarisco Italia
Epsoclar Italia
Hepaflex Finlandia, Noruega
Hepamax Chile, Colombia, Ecuador
Heparin Austria, Canadá, Dinamarca, Estados Unidos de América, Finlandia, Gran Bretaña, Grecia, Hungría, Noruega, Países Bajos, ruso, Sudafrica, Suecia, Suiza, Tailandia, Turquía, Yugoslavia
Heparine Bélgica, Francia
Heparinised Australia
Heparstad Alemania
Liquemin Suiza, Turquía
Liquemine Brasil
Monoparin Arabia Saudita
Normoparin Italia
Nuparin Ecuador
Pharepa Italia
Riveparin Argentina
Sobrius Argentina, Ecuador
Thrombophob Alemania
Estabilidad en solucion   Inyectables   Estabilidad en solucion : Heparin sodium     
Envase Solvente Concentración Temperatura Conservación Duración de la estabilidad Bibliografía
Vidrio Cloruro de sodio 0,9% 1 UI/ml 25°C Luz
365 Día
4166
análisis biológico

Cloruro de polivinilo NaCl 0,9% o glucosa 5% 1 UI/ml 20°C-25°C No precisada
365 Día
1291
análisis biológico

Cloruro de polivinilo Glucosa 5% 10 UI/ml 20°C-25°C No precisada
365 Día
1291
análisis biológico

Polietileno NaCl 0,9% o glucosa 5% 7 UI/ml 22°C A cubierto de la luz
24 Hora
1067
Nivel de evidencia C

Polietileno NaCl 0,9% o glucosa 5% 7 UI/ml 4°C A cubierto de la luz
24 Hora
1067
Nivel de evidencia C

jeringa polipropileno Cloruro de sodio 0,9% 1 UI/ml 20°C No precisada
365 Día
1234
análisis biológico

jeringa polipropileno Cloruro de sodio 0,9% 1 UI/ml 37°C No precisada
365 Día
1234
análisis biológico

jeringa polipropileno Cloruro de sodio 0,9% 100 UI/ml 4°C A cubierto de la luz
14 Día
895
análisis biológico

jeringa polipropileno Cloruro de sodio 0,9% 500 UI/ml 25°C A cubierto de la luz
21 Día
1183
análisis biológico

jeringa polipropileno Cloruro de sodio 0,9% 500 UI/ml 4°C A cubierto de la luz
21 Día
1183
análisis biológico

jeringa polipropileno Ninguno 1000 & 40000 UI/ml 30°C No precisada
30 Día
874
Nivel de evidencia B

No precisado Cloruro de sodio 0,9% 5 UI/ml 4°C A cubierto de la luz
28 Día
791
análisis biológico


  Mentions Légales