Τελευταία ενημέρωση :
05/12/2025
Αντιπηκτικό   Heparin sodium  
Ενέσιμο
Σταθερότητα διαλυμάτων Σταθερότητα σε μίγματα Παράγοντας που επηρεάζει τη σταθερότητα Συμβατότητες Τρόπος χορήγησης Βιβλιογραφία pdf
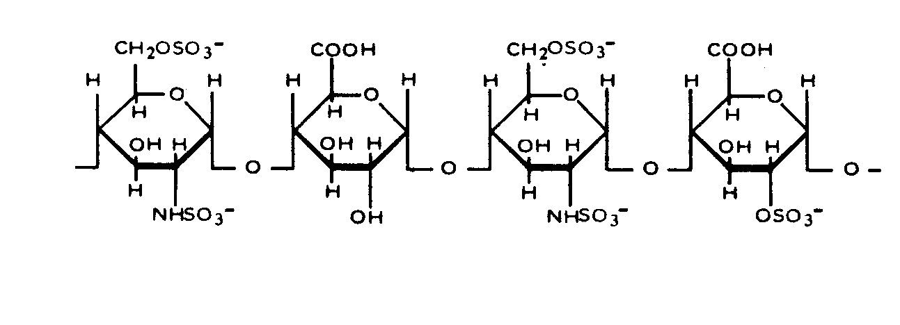
   χημική δομή  

Εμπορική ονομασία   Εμπορική ονομασία     

Οι εμπορικές ονομασίες είναι ενδεικτικές και η σύνθεση των εκδόχων μπορεί να διαφέρει ανάλογα με τη χώρα και τα εργαστήρια

Arapin Χιλή
Ateroclar Ιταλία
Clarisco Ιταλία
Epsoclar Ιταλία
Hepaflex Νορβηγία, Φινλανδία
Hepamax Εκουαδόρ, Κολομβία, Χιλή
Heparin Αυστρία, Γιουγκοσλαβία, Δανία, Ελβετία, Ελλάδα, Η.Π.Α., Καναδάς, Μεγάλη Βρετανία, Νορβηγία, Νότιος Αφρική, Ολλανδία, Ουγγαρία, Ρωσικά, Σουηδία, Ταϊλάνδη, Τουρκία, Φινλανδία
Heparine Βέλγιο, Γαλλία
Heparinised Αυστραλία
Heparstad Γερμανία
Liquemin Ελβετία, Τουρκία
Liquemine Βραζιλία
Monoparin Σαουδική Αραβία
Normoparin Ιταλία
Nuparin Εκουαδόρ
Pharepa Ιταλία
Riveparin Αργεντινή
Sobrius Αργεντινή, Εκουαδόρ
Thrombophob Γερμανία
Σταθερότητα διαλυμάτων   Ενέσιμο   Σταθερότητα διαλυμάτων : Heparin sodium     
Υποδοχέας Διαλυτικό Συγκέντρωση Θερμοκρασία Αποθήκευση Διάρκεια σταθερότητας Βιβλιογραφία
Ύαλος Χλωριούχο νάτριο 0,9% 1 UI/ml 25°C Φως
365 Ημέρα
4166
Βιολογική ανάλυση

Πολυβινυλοχλωρίδιο NaCl 0,9% ή Γλυκόζη 5% 1 UI/ml 20°C-25°C Απροσδιόριστο
365 Ημέρα
1291
Βιολογική ανάλυση

Πολυβινυλοχλωρίδιο Γλυκόζη 5% 10 UI/ml 20°C-25°C Απροσδιόριστο
365 Ημέρα
1291
Βιολογική ανάλυση

Πολυαιθυλένιο NaCl 0,9% ή Γλυκόζη 5% 7 UI/ml 22°C Προστατεύετε από το φως
24 Ώρα
1067
Επίπεδο των αποδεικτικών στοιχείων C

Πολυαιθυλένιο NaCl 0,9% ή Γλυκόζη 5% 7 UI/ml 4°C Προστατεύετε από το φως
24 Ώρα
1067
Επίπεδο των αποδεικτικών στοιχείων C

σύριγγα πολυπροπυλένιο Χλωριούχο νάτριο 0,9% 1 UI/ml 20°C Απροσδιόριστο
365 Ημέρα
1234
Βιολογική ανάλυση

σύριγγα πολυπροπυλένιο Χλωριούχο νάτριο 0,9% 1 UI/ml 37°C Απροσδιόριστο
365 Ημέρα
1234
Βιολογική ανάλυση

σύριγγα πολυπροπυλένιο Χλωριούχο νάτριο 0,9% 100 UI/ml 4°C Προστατεύετε από το φως
14 Ημέρα
895
Βιολογική ανάλυση

σύριγγα πολυπροπυλένιο Χλωριούχο νάτριο 0,9% 500 UI/ml 25°C Προστατεύετε από το φως
21 Ημέρα
1183
Βιολογική ανάλυση

σύριγγα πολυπροπυλένιο Χλωριούχο νάτριο 0,9% 500 UI/ml 4°C Προστατεύετε από το φως
21 Ημέρα
1183
Βιολογική ανάλυση

σύριγγα πολυπροπυλένιο Ουδέν 1000 & 40000 UI/ml 30°C Απροσδιόριστο
30 Ημέρα
874
Επίπεδο των αποδεικτικών στοιχείων B

Απροσδιόριστο Χλωριούχο νάτριο 0,9% 5 UI/ml 4°C Προστατεύετε από το φως
28 Ημέρα
791
Βιολογική ανάλυση


  Mentions Légales