Последнее обновление :
27/01/2026
Антикоагулянт   Heparin sodium  
Инъекция
Стабильность растворов Стабильность смесей Факторы, которые влияют на стабильность Совместимость Способы введения Библиография pdf
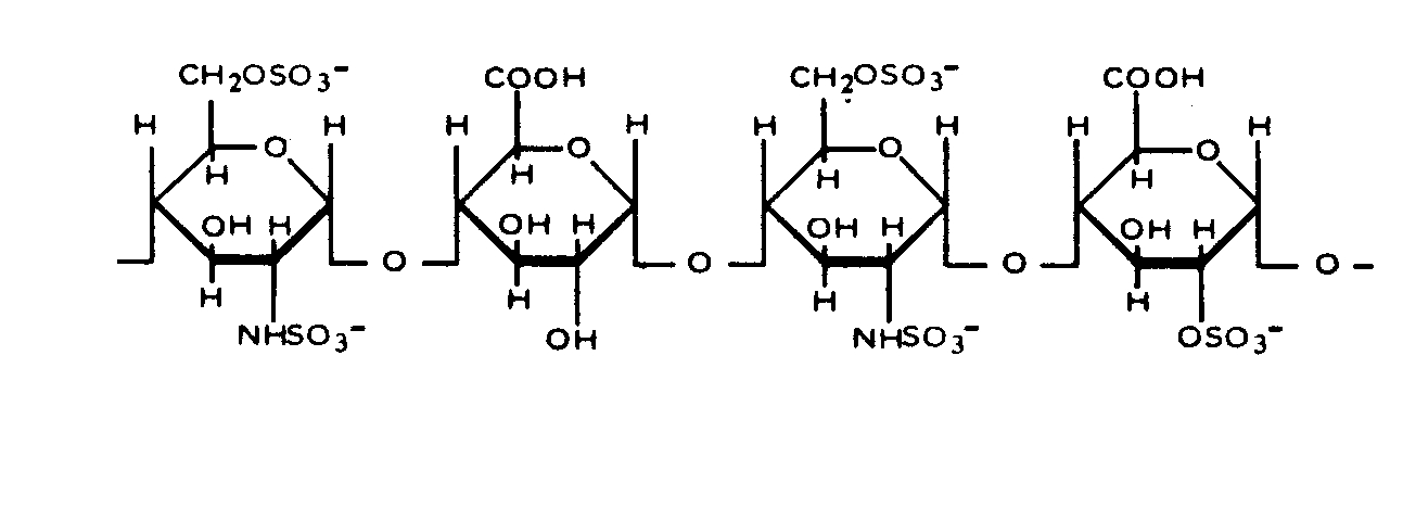
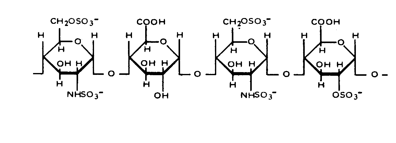
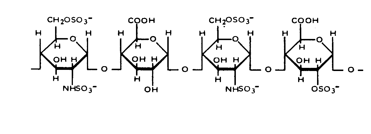
   Химическая структура  

Товарное название   Товарное название     

Trade names are indicative and excipients composition can be different depending on the country and manufacturers

Arapin чили
Ateroclar Италия
Clarisco Италия
Epsoclar Италия
Hepaflex Норвегия, Финляндия
Hepamax Колумбия, чили, Эквадор
Heparin Австрия, Великобритания, Венгрия, Голландия, Греция, Дания, Канада, Норвегия, Русский, Соединённые Штаты Америки, Таиланд, Турция, Финляндия, Швейцария, Швеция, Югославия, Южно-Африканская Республика
Heparine Бельгия, Франция
Heparinised Австралия
Heparstad Германия
Liquemin Турция, Швейцария
Liquemine Бразилия
Monoparin Саудовская Аравия
Normoparin Италия
Nuparin Эквадор
Pharepa Италия
Riveparin Аргентина
Sobrius Аргентина, Эквадор
Thrombophob Германия
Стабильность растворов   Инъекция   Стабильность растворов : Heparin sodium     
Упаковка Растворитель Концентрация Температура Хранение Продолжительность стабильности Ссылки
Стекло Натрия хлорид 0,9% 1 UI/ml 25°C Свет
365 День
4166
Биологический метод

Поливинилхлорид Натрия хлорид 0,9% 1 UI/ml 20°C-25°C Не указано
365 День
1291
Биологический метод

Поливинилхлорид Глюкоза 5% 1 UI/ml 20°C-25°C Не указано
365 День
1291
Биологический метод

Поливинилхлорид Глюкоза 5% 10 UI/ml 20°C-25°C Не указано
365 День
1291
Биологический метод

Полиэтилен Натрия хлорид 0,9% 7 UI/ml 22°C Защищён от света
24 Час
1067
Уровень доказательности C

Полиэтилен Натрия хлорид 0,9% 7 UI/ml 4°C Защищён от света
24 Час
1067
Уровень доказательности C

Полиэтилен Глюкоза 5% 7 UI/ml 22°C Защищён от света
24 Час
1067
Уровень доказательности C

Полиэтилен Глюкоза 5% 7 UI/ml 4°C Защищён от света
24 Час
1067
Уровень доказательности C

Шприц полипропилен Натрия хлорид 0,9% 1 UI/ml 20°C Не указано
365 День
1234
Биологический метод

Шприц полипропилен Натрия хлорид 0,9% 1 UI/ml 37°C Не указано
365 День
1234
Биологический метод

Шприц полипропилен Натрия хлорид 0,9% 100 UI/ml 4°C Защищён от света
14 День
895
Биологический метод

Шприц полипропилен Натрия хлорид 0,9% 500 UI/ml 25°C Защищён от света
21 День
1183
Биологический метод

Шприц полипропилен Натрия хлорид 0,9% 500 UI/ml 4°C Защищён от света
21 День
1183
Биологический метод

Шприц полипропилен Нет 1000 & 40000 UI/ml 30°C Не указано
30 День
874
Уровень доказательности B

Не указано Натрия хлорид 0,9% 5 UI/ml 4°C Защищён от света
28 День
791
Биологический метод


  Mentions Légales