最新更新 :
18/03/2026
抗凝血药   Heparin sodium  
注射液
溶液稳定性 混合物稳定性 影响稳定性的因素 兼容性 用药途径 引用文献 PDF
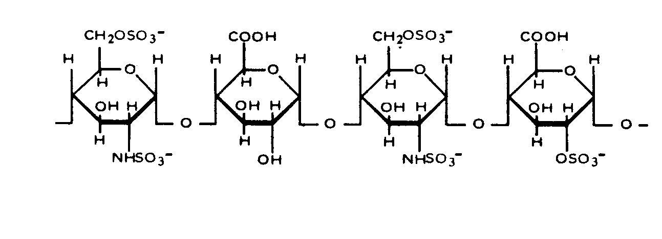
   化学式  

商品名   商品名     

商品名仅供参考, 药品所用的辅料可能依国家或厂商不同有所不同。

Arapin 智利
Ateroclar 意大利
Clarisco 意大利
Epsoclar 意大利
Hepaflex 挪威, 芬兰
Hepamax 厄瓜多尔, 哥伦比亚, 智利
Heparin 丹麦, 俄罗斯, 加拿大, 匈牙利, 南非, 土耳其, 塞尔维亚, 奥地利, 希腊, 挪威, 泰国, 瑞典, 瑞士, 美国, 芬兰, 英国, 荷兰
Heparine 比利时, 法国
Heparinised 澳大利亚
Heparstad 德国
Liquemin 土耳其, 瑞士
Liquemine 巴西
Monoparin 沙特阿拉伯
Normoparin 意大利
Nuparin 厄瓜多尔
Pharepa 意大利
Riveparin 阿根廷
Sobrius 厄瓜多尔, 阿根廷
Thrombophob 德国
溶液稳定性   注射液   溶液稳定性 : Heparin sodium     
容器 溶剂 浓度 温度 保存 穩定持續時間 引用文献
玻璃 NaCl 0,9% 1 UI/ml 25°C 光
365 白天
4166
生物检测

聚氯乙烯 NaCl 0,9% 1 UI/ml 20°C-25°C 无特殊要求
365 白天
1291
生物检测

聚氯乙烯 葡萄糖5% 1 UI/ml 20°C-25°C 无特殊要求
365 白天
1291
生物检测

聚氯乙烯 葡萄糖5% 10 UI/ml 20°C-25°C 无特殊要求
365 白天
1291
生物检测

聚乙烯 NaCl 0,9% 7 UI/ml 22°C 避光
24 小时
1067
C级

聚乙烯 NaCl 0,9% 7 UI/ml 4°C 避光
24 小时
1067
C级

聚乙烯 葡萄糖5% 7 UI/ml 22°C 避光
24 小时
1067
C级

聚乙烯 葡萄糖5% 7 UI/ml 4°C 避光
24 小时
1067
C级

注射器  聚丙烯 NaCl 0,9% 1 UI/ml 20°C 无特殊要求
365 白天
1234
生物检测

注射器  聚丙烯 NaCl 0,9% 1 UI/ml 37°C 无特殊要求
365 白天
1234
生物检测

注射器  聚丙烯 NaCl 0,9% 100 UI/ml 4°C 避光
14 白天
895
生物检测

注射器  聚丙烯 NaCl 0,9% 500 UI/ml 25°C 避光
21 白天
1183
生物检测

注射器  聚丙烯 NaCl 0,9% 500 UI/ml 4°C 避光
21 白天
1183
生物检测

注射器  聚丙烯 无 1000 & 40000 UI/ml 30°C 无特殊要求
30 白天
874
B级

不详 NaCl 0,9% 5 UI/ml 4°C 避光
28 白天
791
生物检测


  Mentions Légales