Ostatnia aktualizacja :
27/01/2026
Antykoagulant   Heparin sodium  
Injekcje
Trwałość roztworów Trwałość w mieszaninie Czynnik wpływający na trwałość Zgodność Sposób podania Bibliografia pdf
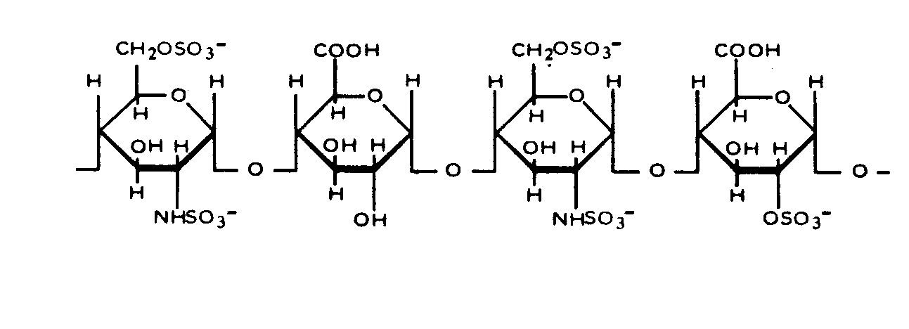
   Struktura chemiczna  

Nazwa handlowa   Nazwa handlowa     

Trade names are indicative and excipients composition can be different depending on the country and manufacturers

Arapin Chile
Ateroclar Włochy
Clarisco Włochy
Epsoclar Włochy
Hepaflex Finlandia, Norwegia
Hepamax Chile, Ekwador, KolumbiaKolumbia
Heparin Afryka Południowa, Austria, Dania, Finlandia, Grecja, Holandia, Jugosławia, Kanada, Norwegia, rosyjski, Stany Zjednoczone Ameryki, Szwajcaria, Szwecja, Tajlandia, Turcja, Węgry, Wielka Brytania
Heparine Belgia, Francja
Heparinised Australia
Heparstad Niemcy
Liquemin Szwajcaria, Turcja
Liquemine Brazylia
Monoparin Arabia Saudyjska
Normoparin Włochy
Nuparin Ekwador
Pharepa Włochy
Riveparin Argentyna
Sobrius Argentyna, Ekwador
Thrombophob Niemcy
Trwałość roztworów   Injekcje   Trwałość roztworów : Heparin sodium     
Pojemnik Rozpuszczalnik Stężenie Temperatura Przechowywanie Czas trwania stabilności Bibliografia
Szkło Chlorek sodu 0,9% 1 UI/ml 25°C światło
365 Dzień
4166
Analiza biologiczna

Polichlorek winylu Chlorek sodu 0,9% 1 UI/ml 20°C-25°C Nie wyszczególniony
365 Dzień
1291
Analiza biologiczna

Polichlorek winylu Glukoza 5% 1 UI/ml 20°C-25°C Nie wyszczególniony
365 Dzień
1291
Analiza biologiczna

Polichlorek winylu Glukoza 5% 10 UI/ml 20°C-25°C Nie wyszczególniony
365 Dzień
1291
Analiza biologiczna

Polietylen Chlorek sodu 0,9% 7 UI/ml 22°C Chronić od światła
24 Godzina
1067
Poziom wiarygodności C

Polietylen Chlorek sodu 0,9% 7 UI/ml 4°C Chronić od światła
24 Godzina
1067
Poziom wiarygodności C

Polietylen Glukoza 5% 7 UI/ml 22°C Chronić od światła
24 Godzina
1067
Poziom wiarygodności C

Polietylen Glukoza 5% 7 UI/ml 4°C Chronić od światła
24 Godzina
1067
Poziom wiarygodności C

Strzykawka Chlorek sodu 0,9% 1 UI/ml 20°C Nie wyszczególniony
365 Dzień
1234
Analiza biologiczna

Strzykawka Chlorek sodu 0,9% 1 UI/ml 37°C Nie wyszczególniony
365 Dzień
1234
Analiza biologiczna

Strzykawka Chlorek sodu 0,9% 100 UI/ml 4°C Chronić od światła
14 Dzień
895
Analiza biologiczna

Strzykawka Chlorek sodu 0,9% 500 UI/ml 25°C Chronić od światła
21 Dzień
1183
Analiza biologiczna

Strzykawka Chlorek sodu 0,9% 500 UI/ml 4°C Chronić od światła
21 Dzień
1183
Analiza biologiczna

Strzykawka Żaden 1000 & 40000 UI/ml 30°C Nie wyszczególniony
30 Dzień
874
Poziom wiarygodności B

Brak informacji Chlorek sodu 0,9% 5 UI/ml 4°C Chronić od światła
28 Dzień
791
Analiza biologiczna


  Mentions Légales