Última actualización :
27/04/2026
Antibiótico   Gentamicin sulfate  
Inyectables
Gotas oculares
Estabilidad en solucion Estabilidad en mezcla Factores que influyen sobre la estabilidad Compatibilidades método de inyección Bibliografía pdf
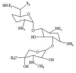
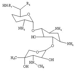
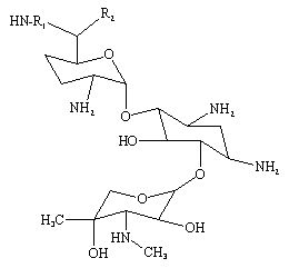
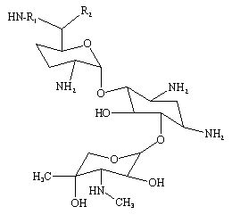
   Estructura química  

Nombre comercial   Nombre comercial     

Los nombres comerciales son orientativos y los excipientes de la formulación pueden ser distintos dependiendo del país y del laboratorio fabricante.

Azupel Marruecos
Cidomycin Egipto, Gran Bretaña, Túnez
Dabroson Grecia
Epigent Egipto
Garalone Portugal
Garamicina Brasil, Colombia, Ecuador, México
Garamycin Croacia, Dinamarca, Egipto, Emiratos Árabes Unidos, Grecia, India, Noruega, Países Bajos, Polonia, Suiza
Genmisin Turquía
Gensif Turquía
Gensumycin Finlandia, Noruega, Suecia
Genta-Gobens España
Gentalline Marruecos
Gentamen Marruecos
Genticin Emiratos Árabes Unidos, Gran Bretaña, Irlanda
Gentreks Turquía
Hexamycin Dinamarca
Plurisemina Argentina
Refobacin Alemania, Austria, Colombia, Egipto
Rupegen Argentina
método de inyección   método de inyección :Gentamicin sulfate     
Voie
Intravenoso
Perfusión intravenosa
Intramuscular
Subcutánea
Intratecal
Intraventricular
Subconjuntival

  Mentions Légales