Τελευταία ενημέρωση :
27/11/2025
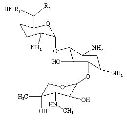
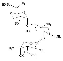
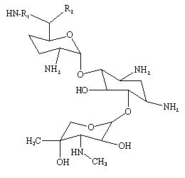
Αντιβιοτικό   Gentamicin sulfate  
Ενέσιμο
Οφθαλμικές σταγόνες
Σταθερότητα διαλυμάτων Σταθερότητα σε μίγματα Παράγοντας που επηρεάζει τη σταθερότητα Συμβατότητες Τρόπος χορήγησης Βιβλιογραφία pdf
   χημική δομή  

Εμπορική ονομασία   Εμπορική ονομασία     

Οι εμπορικές ονομασίες είναι ενδεικτικές και η σύνθεση των εκδόχων μπορεί να διαφέρει ανάλογα με τη χώρα και τα εργαστήρια

Azupel Περού
Cidomycin Αίγυπτος, Μεγάλη Βρετανία, Τυνησία
Dabroson Ελλάδα
Epigent Αίγυπτος
Garalone Πορτογαλία
Garamicina Βραζιλία, Εκουαδόρ, Κολομβία, Μεξικό
Garamycin Yhdistyneet arabiemiirikunnat, Αίγυπτος, Δανία, Ελβετία, Ελλάδα, Ινδία, Κροατία, Νορβηγία, Ολλανδία, Πολωνία
Genmisin Τουρκία
Gensif Τουρκία
Gensumycin Νορβηγία, Σουηδία, Φινλανδία
Genta-Gobens Ισπανία
Gentalline Μαρόκο
Gentamen Μαρόκο
Genticin Yhdistyneet arabiemiirikunnat, Ιρλανδία, Μεγάλη Βρετανία
Gentreks Τουρκία
Hexamycin Δανία
Plurisemina Αργεντινή
Refobacin Αίγυπτος, Αυστρία, Γερμανία, Κολομβία
Rupegen Αργεντινή
Τρόπος χορήγησης   Τρόπος χορήγησης :Gentamicin sulfate     
Voie
Ενδοφλέβια
Ενδοφλέβια έκχυση
Ενδομυϊκή
Υποδόριος
Ενδορραχιαία
Ενδοκοιλιακή
Υποεπιπεφυκοτικός

  Mentions Légales