Last update :
27/11/2025
Antibiotic   Gentamicin sulfate  
injection
Eye-drops
Stability in solutions Stability of mixtures Factors which affect stability Compatibility Route of administration References pdf
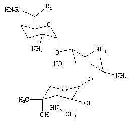
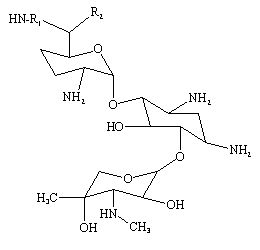
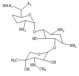
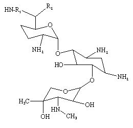
   Chemical structure  

Tradename   Tradename     

Trade names are indicative and excipients composition can be different depending on the country and manufacturers

Azupel Peru
Cidomycin Egypt, Great Britain, Tunisia
Dabroson Greece
Epigent Egypt
Garalone Portugal
Garamicina Brazil, Colombia, Ecuador, Mexico
Garamycin Croatia, Denmark, Egypt, Greece, India, Netherlands, Norway, Poland, Switzerland, United Arab Emirates
Genmisin Turkey
Gensif Turkey
Gensumycin Finland, Norway, Sweden
Genta-Gobens Spain
Gentalline Morocco
Gentamen Morocco
Genticin Great Britain, Ireland, United Arab Emirates
Gentreks Turkey
Hexamycin Denmark
Plurisemina Argentina
Refobacin Austria, Colombia, Egypt, Germany
Rupegen Argentina
Route of administration   Route of administration :Gentamicin sulfate     
Route
Intravenous
Intravenous infusion
Intramuscular
Subcutaneous
Intrathecal
Intraventricular
Subconjunctival

  Mentions Légales