Dernière mise à jour :
27/01/2026
Antibiotique   Gentamicin sulfate  
injectable
Collyre
Stabilité des solutions Stabilité en mélange Facteur influençant la stabilité Compatibilités Voie d’administration Bibliographie pdf
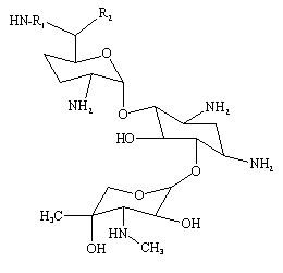
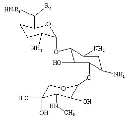
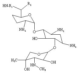
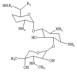
   Structure chimique  

Noms commerciaux   Noms commerciaux     

Les noms commerciaux sont donnés à titre indicatif et la composition en excipients peut être différente selon les pays et selon les laboratoires

Azupel Pérou
Cidomycin Egypte, Grande Bretagne, Tunisie
Dabroson Grèce
Epigent Egypte
Garalone Portugal
Garamicina Brésil, Colombie, Equateur, Mexique
Garamycin Croatie, Danemark, Egypte, Emirats Arabes Unis , Grèce, Inde, Norvège, Pays bas, Pologne, Suisse
Genmisin Turquie
Gensif Turquie
Gensumycin Finlande, Norvège, Suède
Genta-Gobens Espagne
Gentalline Maroc
Gentamen Maroc
Genticin Emirats Arabes Unis , Grande Bretagne, Irlande
Gentreks Turquie
Hexamycin Danemark
Plurisemina Argentine
Refobacin Allemagne, Autriche, Colombie, Egypte
Rupegen Argentine
Voie d’administration   Voie d’administration :Gentamicin sulfate     
Voie
Intraveineuse
Perfusion intraveineuse
Intramusculaire
Sous cutanée
Intrathécale
Intraventriculaire
Sous conjonctivale

  Mentions Légales