Letztes “update” :
27/04/2026
Antiviral   Foscarnet sodium  
Injektion
Stabilität der Lösung Gemengestabilität Stabilitätbeeinflussende Faktoren Kompatibilitäten Applikationsart Literaturverzeichnis pdf
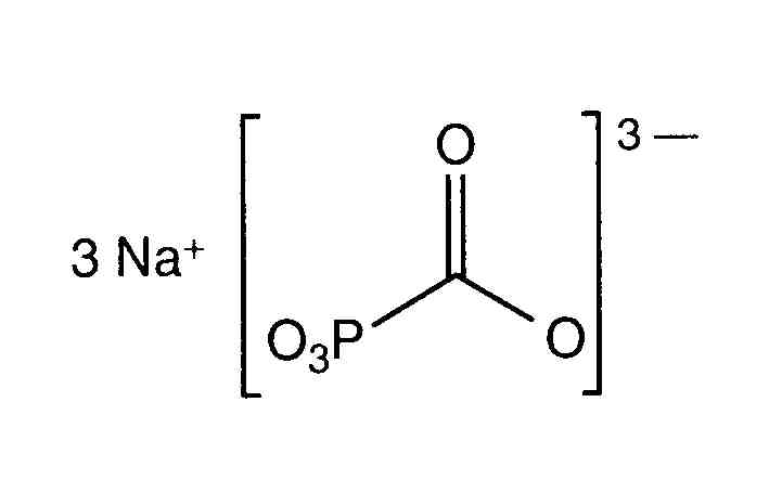
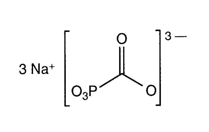
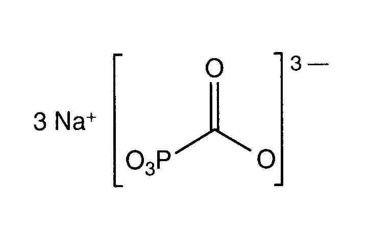
   Chemische Struktur  

Handelsmarke   Handelsmarke     

Handelsnamen sind als beispielhaft anzusehen. Sonstige Bestandteile können je nach Hersteller oder Land verschieden sein

Foscarnet Argentinien, Chile, Ecuador, Kolumbien, Mexiko, Peru, Portugal, Spanien, Vereinigte Staaten von Amerika
Foscavir Australien, Belgien, Deutschland, Frankreich, Griechenland, Großbritannien, Italien, Luxemburg, Neuseeland, Niederlande, Österreich, Schweden, Schweiz, Spanien, Ungarn, Vereinigte Staaten von Amerika
Literaturverzeichnis   Injektion   Literaturverzeichnis : Foscarnet sodium  
Typ Veröffentlichung
2 Zeitung Woods K, Steinmann W, Bruns L, Neels JT.
Stability of foscarnet in 0.9% sodium chloride injection.
Am J Hosp Pharm 1994 ; 51: 88-90.
36 Zeitung Alex S, Gupta SL, Minor JR, Turcovski-Corrales S, Gallelli JF, Taub D, Piscitelli SC.
Compatibility and activity of aldesleukin (recombinant interleukin-2) in presence of selected drugs during simulated Y-site administration: Evaluation of three methods.
Am J Health-Syst Pharm 1995 ; 52: 2423-2426.
64 Zeitung DiStefano JE, Outman WR.
Additional data on visual compatibility of foscarnet sodium with morphine sulfate.
Am J Hosp Pharm 1992 ; 49: 1672.
73 Zeitung Lor E, Takagi J.
Visual compatibility of foscarnet with other injectable drugs.
Am J Hosp Pharm 1990 ; 47: 157-159.
75 Zeitung Mathew M, Das Gupta V, Bethea C.
Stability of foscarnet sodium in 5% dextrose and 0.9% sodium chloride injections.
J Clin Pharm Ther 1994 ; 19: 35-36.
132 Zeitung Najari Z, Rusho WJ.
Compatibility of commonly used bone marrow transplant drugs during Y-site delivery.
Am J Health-Syst Pharm 1997 ; 54: 181-184.
246 Zeitung McDonald C, Boddy M, Garas G.
The stability of foscarnet in the presence of potassium.
Aust J Hosp Pharm 1996 ; 26: 560-561.
496 Zeitung Lor E, Sheybani T, Takagi J.
Visual compatibility of fluconazole with commonly used injectable drugs during simulated Y-site administration.
Am J Hosp Pharm 1991 ; 48: 744-746.
604 Labor Stabilité des médicaments dans l'Intermate® SV50, 100, 200
Baxter 1998
1135 Zeitung Baltz JK, Kennedy P, Minor JR, Gallelli J.
Visual compatibility of foscarnet with other injectable drugs during simulated Y-site administration.
Am J Hosp Pharm 1990 ; 47: 2075-2077.
2262 Zeitung Brammer MK, Chan P, Heatherly K, Trusley C, Kupiec TC, Trissel LA, Psathas PA, Gilmor T, Schaufelberger D.
Compatibility of doripenem with other drugs during simulated Y-site administratioN
Am J Health-Syst Pharm 2008 ; 65: 1261-1265.
3595 Labor Aciclovir - Summary of Product Characteristics
Hospira 2009
3662 Labor Foscavir (Foscarnet®) - Summary of Product Characteristics
Clinigen 2014
3728 Zeitung Correard F, Savry A, Gauthier-Villano L, Pisano P, Pourroy B.
Visual compatibility of defibrotide with selected drugs during simulated Y-site administration.
Am J Health-Syst Pharm 2014 ; 71: 1288-1291.
3883 Labor Ceftazidime - Résumé des caractéristiques du produit
Arrow 2016
4319 Zeitung Lessard J-J, Caron E, Schérer H, Forest J-M, Leclair G.
Compatibility of Y-site Injection of Meropenem Trihydrate With 101 Other Injectable Drugs.
Hosp Pharm 2020 ; 55, 5: 332-337.

  Mentions Légales